国家高新技术企业

  • 首 页
  • 产品中心
    • 场效应管
    • 小电流MOS管
    • 超结场效应管
    • 三端稳压管
    • 快恢复二极管
    • 碳化硅场效应管
    • 碳化硅二极管
  • 应用领域
    • 开关电源
    • 适配器
    • 逆变器
    • 汽车电子
    • 通讯设备
  • 服务支持
    • 免费分析
    • 定制服务
    • 常见问题
    • 技术文章
  • 新闻中心
    • 公司动态
    • 行业资讯
  • 关于我们
    • 公司简介
    • 企业文化
    • 荣誉资质
    • 合作伙伴
  • 联系我们
    • 联系方式
    • 人才招聘
    • 留言资讯
EN

国家高新技术企业

  • 首 页 1
  • 产品中心 2
    场效应管 小电流MOS管 超结场效应管 三端稳压管 快恢复二极管 碳化硅场效应管 碳化硅二极管
  • 应用领域 3
    开关电源 适配器 逆变器 汽车电子 通讯设备
  • 服务支持 4
    免费分析 定制服务 常见问题 技术文章
  • 新闻中心 5
    公司动态 行业资讯
  • 关于我们 6
    公司简介 企业文化 荣誉资质 合作伙伴
  • 联系我们 7
    联系方式 人才招聘 留言资讯
CN EN
新闻中心
知天下大事,公展宏图伟业

首页  >  服务支持

公司动态 行业资讯
  • MOS管电流电压特性方程-饱和区及非饱和区

    非饱和区的电流-电压特性, MOS管是一个电压控制器件,在栅压作用下,只要沟道形成,MOS管就工作在饱和区或非饱和区(不考虑器件击穿)。饱和区与非饱和区是以漏极处的沟道是否夹断来划分的,在特性曲线上是以VDS大于(VGS-VT)还是小于(VGS-VT)来划分的。下面我们分别研究一下非饱和区与饱和区的沟道电流与栅压、漏电压之间的定量关系。

    2020年10月23日

    MOS管电流电压特性方程-饱和区及非饱和区

    非饱和区的电流-电压特性, MOS管是一个电压控制器件,在栅压作用下,只要沟道形成,MOS管就工作在饱和区或非饱和区(不考虑器件击穿)。饱和区与非饱和区是以漏极处的沟道是否夹断来划分的,在特性曲线上是以VDS大于(VGS-VT)还是小于(VGS-VT)来划分的。下面我们分别研究一下非饱和区与饱和区的沟道电流与栅压、漏电压之间的定量关系。

    2020年10月23日

  • MOS管输出特性曲线的定性讨论分析

    MOS管输出特性曲线,可像双极型管一样用JT-1图示仪显示出来,如图1-20所。前面对MOS管的工作情况,已经作了简单的介绍,现在进一步分析MOS管的输出特性。所谓MOS管的输出特性,是指当栅源电压一定,漏源电流IDS随漏源电压的变化规律。

    2020年10月23日

    MOS管输出特性曲线的定性讨论分析

    MOS管输出特性曲线,可像双极型管一样用JT-1图示仪显示出来,如图1-20所。前面对MOS管的工作情况,已经作了简单的介绍,现在进一步分析MOS管的输出特性。所谓MOS管的输出特性,是指当栅源电压一定,漏源电流IDS随漏源电压的变化规律。

    2020年10月23日

  • MOS器件的阈值电压定义及分析

    MOS器件的阈值电压,MOS阈值电压,阈值电压VT 所谓MOS器件的阀值电压,是指器件的漏源刚好导通时的栅电压。这实际上要满足Si表面达到强反型条件,即表面势image.png。那么究竟要加多大的栅电压才能满足强反型条件呢?如果源极接地,这里的栅电压就是指栅源电压VGS。

    2020年10月22日

    MOS器件的阈值电压定义及分析

    MOS器件的阈值电压,MOS阈值电压,阈值电压VT 所谓MOS器件的阀值电压,是指器件的漏源刚好导通时的栅电压。这实际上要满足Si表面达到强反型条件,即表面势image.png。那么究竟要加多大的栅电压才能满足强反型条件呢?如果源极接地,这里的栅电压就是指栅源电压VGS。

    2020年10月22日

  • MOS系统的硅表面SiO2的简单实现

    MOS系统的硅表面的MOS系统是比较复杂的。因此,在没有外电场作用的情况下,Si表面可能已经形成空间电荷区,而使能带发生弯曲。下面将分别讨论由于金属与半导体功函数不同,以及栅氧化层中的有效表面态电荷密度对Si表面的影响。

    2020年10月22日

    MOS系统的硅表面SiO2的简单实现

    MOS系统的硅表面的MOS系统是比较复杂的。因此,在没有外电场作用的情况下,Si表面可能已经形成空间电荷区,而使能带发生弯曲。下面将分别讨论由于金属与半导体功函数不同,以及栅氧化层中的有效表面态电荷密度对Si表面的影响。

    2020年10月22日

  • MOS电容-半导体物理器件特性及详解

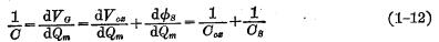
    MOS电容-半导体物理器件特性及MOS管电容MOS电容由金属一氧化物-半导体构成的MOS系统,可以看成一个平行板电容器,金属和半导体看作两块平行板,中间的SiO2为绝索介质,如图1-11(a)所示。根据电容的定义,必须满足:式中VG为加在MOS电容上的栅电压,Qm为金属表面的电荷量。根据电中性条件,Qm在数值上应等于整个空间电荷区的电荷量Qb。

    2020年10月21日

    MOS电容-半导体物理器件特性及详解

    MOS电容-半导体物理器件特性及MOS管电容MOS电容由金属一氧化物-半导体构成的MOS系统,可以看成一个平行板电容器,金属和半导体看作两块平行板,中间的SiO2为绝索介质,如图1-11(a)所示。根据电容的定义,必须满足:式中VG为加在MOS电容上的栅电压,Qm为金属表面的电荷量。根据电中性条件,Qm在数值上应等于整个空间电荷区的电荷量Qb。

    2020年10月21日

  • MOS管结构的表面势及空间电荷区的电荷解析

    MOS结构表面势,MOS管晶体管的物理基础一、理想 MOS系统在外场作用下的硅表面二、表面势及空间电荷区的电荷从上面讨论知道,表面势φs的大小,是表征空间电荷区电荷量多少的一个量。它们的数量关系在后面的讨论中是非常有用的。1、表面势 半导体表面空间电荷区在Si-SiO2界面处的表面势,可以通过解泊松方程来求得。一般情况下,空间电荷区内存在着电离的受主N2和施主NA,还有电子和空穴P

    2020年10月21日

    MOS管结构的表面势及空间电荷区的电荷解析

    MOS结构表面势,MOS管晶体管的物理基础一、理想 MOS系统在外场作用下的硅表面二、表面势及空间电荷区的电荷从上面讨论知道,表面势φs的大小,是表征空间电荷区电荷量多少的一个量。它们的数量关系在后面的讨论中是非常有用的。1、表面势 半导体表面空间电荷区在Si-SiO2界面处的表面势,可以通过解泊松方程来求得。一般情况下,空间电荷区内存在着电离的受主N2和施主NA,还有电子和空穴P

    2020年10月21日

  • MOS晶体管的物理基础概述和理论

    MOS晶体管的物理基础上面简要地介绍了MOS晶体管的结构,类型及工作原理。为了深入了解MOS晶体管的特性,有必要对组成MOS晶体管的MOS系统的物理性质作进一步的分析讨论。比如,半导体Si和氧化物交界处的Si表面,是如何随着外加电场变化的,MOS晶体管的阀值电压VT 与哪些因素有关等,这是本节讨论的主要内容。一、理想MOS系统在外场作用下的硅表面大家知道,实际MOS系统的情况是很复杂的。如金属与半

    2020年10月20日

    MOS晶体管的物理基础概述和理论

    MOS晶体管的物理基础上面简要地介绍了MOS晶体管的结构,类型及工作原理。为了深入了解MOS晶体管的特性,有必要对组成MOS晶体管的MOS系统的物理性质作进一步的分析讨论。比如,半导体Si和氧化物交界处的Si表面,是如何随着外加电场变化的,MOS晶体管的阀值电压VT 与哪些因素有关等,这是本节讨论的主要内容。一、理想MOS系统在外场作用下的硅表面大家知道,实际MOS系统的情况是很复杂的。如金属与半

    2020年10月20日

  • MOS场效应晶体管基本概念特性及特点

    MOS场效应晶体管的特性:(1)功耗低 (2)器件几何尺寸小 (3)制造工艺简单 ,MOS场效应晶体管的特性是一种表面器件,它的工作原理、导电机理和制造方法与双极型晶本管相比,有很大的不同。

    2020年10月20日

    MOS场效应晶体管基本概念特性及特点

    MOS场效应晶体管的特性:(1)功耗低 (2)器件几何尺寸小 (3)制造工艺简单 ,MOS场效应晶体管的特性是一种表面器件,它的工作原理、导电机理和制造方法与双极型晶本管相比,有很大的不同。

    2020年10月20日

  • MOS晶体管的类型-MOS管的四种类型图解

    MOS晶体管的类型根据导电载流子的不同,可分为N沟道MOS晶体管和P沟道MOS晶体管。每种沟道的MOS晶体管的类型又可根据不同的工作方式,再分为增强型和耗尽型两种。因此,MOS晶体管的类型共有四种类型,现将它们的情况归纳于表1-1之中。

    2020年10月19日

    MOS晶体管的类型-MOS管的四种类型图解

    MOS晶体管的类型根据导电载流子的不同,可分为N沟道MOS晶体管和P沟道MOS晶体管。每种沟道的MOS晶体管的类型又可根据不同的工作方式,再分为增强型和耗尽型两种。因此,MOS晶体管的类型共有四种类型,现将它们的情况归纳于表1-1之中。

    2020年10月19日

  • MOS场效应晶体管的结构特性及工作原理

    MOS场效应晶体管的结构特性及工作原理基本都是由一个个MOS晶体管组成的,因此MOS晶体管是MOS集成电路的基础。在讨论MOS电路之前,必须对MOS晶体管的原理、基本特性和各种参数有个深入的了解。本章主要叙述MOS场效应晶体管的物理基础、基本特性及其主要参数。MOS晶体管一般介绍一、MOS场效应晶体管的结构及工作原理1.N沟道MOS晶体管图1-1表示一个N沟道MOS场效应晶体管的结构模型。它

    2020年10月19日

    MOS场效应晶体管的结构特性及工作原理

    MOS场效应晶体管的结构特性及工作原理基本都是由一个个MOS晶体管组成的,因此MOS晶体管是MOS集成电路的基础。在讨论MOS电路之前,必须对MOS晶体管的原理、基本特性和各种参数有个深入的了解。本章主要叙述MOS场效应晶体管的物理基础、基本特性及其主要参数。MOS晶体管一般介绍一、MOS场效应晶体管的结构及工作原理1.N沟道MOS晶体管图1-1表示一个N沟道MOS场效应晶体管的结构模型。它

    2020年10月19日

First 555657 Last
产品中心
场效应管
小电流MOS管
超结场效应管
三端稳压管
快恢复二极管
碳化硅场效应管
碳化硅二极管
应用领域
开关电源
适配器
逆变器
汽车电子
通讯设备
服务支持
免费分析
定制服务
常见问题
技术文章
新闻中心
公司动态
行业资讯
关于我们
公司简介
企业文化
荣誉资质
合作伙伴
联系我们
联系方式
人才招聘
留言资讯

0755-83888366

地址

深圳市龙华区大浪街道浪口社区英泰路8号英泰科汇广场2栋1902

QQ截图20201214171905.png

  KIA-公众号 

Copyright ©2015 广东可易亚半导体科技有限公司

粤ICP备14090673号-5

网站地图    

   互联网品牌服务:创同盟

产品中心
场效应管 小电流MOS管 超结场效应管 三端稳压管 快恢复二极管 碳化硅场效应管 碳化硅二极管
应用领域
开关电源 适配器 逆变器 汽车电子 通讯设备
服务支持
免费分析 定制服务 常见问题 技术文章
新闻中心
公司动态 行业资讯
关于我们
公司简介 企业文化 荣誉资质 合作伙伴
联系我们
联系方式 人才招聘 留言资讯

0755-83888366

地址

深圳市龙华区大浪街道浪口社区英泰路8号英泰科汇广场2栋1902

QQ截图20201214171905.png

  KIA-公众号 

Copyright ©2015 广东可易亚半导体科技有限公司

粤ICP备14090673号-5

网站地图    

互联网品牌服务:创同盟