信息来源: 时间:2020-10-21
从上面讨论知道,表面势φs的大小,是表征空间电荷区电荷量多少的一个量。它们的数量关系在后面的讨论中是非常有用的。


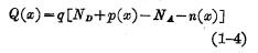
半导体表面空间电荷区在Si-SiO2界面处的表面势,可以通过解泊松方程来求得。一般情况下,空间电荷区内存在着电离的受主N2和施主NA,还有电子和空穴P。因此,空间电荷区的电荷密度可写为:

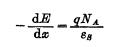
但是在耗尽层近似条件下,空间电荷区的电荷密度可化简为Q(χ)=-qNA。因为所考虑的是P型半导体,空间电荷区中的ND≈0;在耗尽时,空间电荷区的空穴浓度p(χ)《NA;而在φs<2φF时,空间电荷区中的电子浓度n(χ)《 NA。所以,耗尽近似下的Q(χ)=-9NA。把它代入泊松方程,得:

这一方程与分析PN结耗尽层时的泊松方程是一致的。下面求解这个方程:
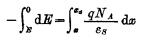
首先,把(1-5)式改写成:

用分离变量法,对两边积分:

即得到电场在空间电荷区距Si-Si02界面为χ处的电场强度,式中χ4为耗尽层(空间电。荷区)的宽度。

再将
时,并用分离变量法,对两边积分:

即得空间电荷区内距Si-SiO2界面χ处的电势为:

当χ=0时,(0)≈φs。即:

耗尽层宽度即为此处的空间电荷区宽度,可以写成:

这个结果与单边突变结PN结空间电荷区的宽度类同。如果满足强反型条件φs=2φF,那么空间电荷区的最大宽度为:

根据(1-9)式,我们可以得到空间电荷区内单位面积的电荷量为:

如果NA-1018个/cm3,φs分别为0.2V和0.4V,则可以得到单位面积内空间电荷密度为:2.5×10-8C/cm2和3.6×10-8C/cm2。
从式1-8中可以看到,掺杂浓度愈高,要达到强反型的表面势就愈大,这和前面讲到的强反型条件φs=2φF是一致的。MOS结构表面势
联系方式:邹先生
联系电话:0755-83888366-8022
手机:18123972950
QQ:2880195519
联系地址:深圳市福田区车公庙天安数码城天吉大厦CD座5C1
请搜微信公众号:“KIA半导体”或扫一扫下图“关注”官方微信公众号
