信息来源: 时间:2020-10-21
由金属一氧化物-半导体构成的MOS系统,可以看成一个平行板电容器,金属和半导体看作两块平行板,中间的SiO2为绝索介质,如图1-11(a)所示。MOS电容。根据电容的定义,必须满足:

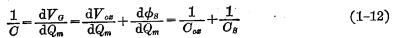
式中VG为加在MOS电容上的栅电压,Qm为金属表面的电荷量。根据电中性条件,Qm在数值上应等于整个空间电荷区的电荷量Qb。
现将(1-11)式取倒数,并将
代入,即得:

这样,就把总的MOS电容分解成为SiO2层电容
。和半导体空间电荷区电容
两个电容,如图1-11(b)所示的串联作用。于是:

图1-11 MOS电容器及等效线路

氧化层电容相当于一个平板电容器,它的单位面积的电容值为:

式中VG为氧化层厚度,Qm为SiO2的介电常数,也称电容率,其值为
,
可见是一个与材料及几何尺寸有关的参数。MOS电容。当SiO2层的厚度一定,
也就一定,它是不随外电压变化的。空间电荷区的电容,也可看成为一个平板电容器,但是它的间距
是可变的,其单位面积电容可表示为:

式中
为Si的介电常数,其值为
为空间电荷区的厚度。MOS电容。前面已经讲到,空间电荷区的宽度是随外加电压变化的。因此,
是随着4变化而变化的。若空间电荷处于积累情况,由于χ4很小,所以
很大,则总的MOS电容近似等于氧化层电容
而在强反型时,χ4达到最大值
,
达到极小值。所以总的MOS电容也达到极小。
MOS电容随电压变化(即电容电压特性)更详细的内容,大家可以根据(1-12)和(1-9)两式自己导出,或参阅有关资料,这里不再叙述。
联系方式:邹先生
联系电话:0755-83888366-8022
手机:18123972950
QQ:2880195519
联系地址:深圳市福田区车公庙天安数码城天吉大厦CD座5C1
请搜微信公众号:“KIA半导体”或扫一扫下图“关注”官方微信公众号
请“关注”官方微信公众号:提供 MOS管 技术帮助
