国家高新技术企业

  • 首 页
  • 产品中心
    • 场效应管
    • 小电流MOS管
    • 超结场效应管
    • 三端稳压管
    • 快恢复二极管
    • 碳化硅场效应管
    • 碳化硅二极管
  • 应用领域
    • 开关电源
    • 适配器
    • 逆变器
    • 汽车电子
    • 通讯设备
  • 服务支持
    • 免费分析
    • 定制服务
    • 常见问题
    • 技术文章
  • 新闻中心
    • 公司动态
    • 行业资讯
  • 关于我们
    • 公司简介
    • 企业文化
    • 荣誉资质
    • 合作伙伴
  • 联系我们
    • 联系方式
    • 人才招聘
    • 留言资讯
EN

国家高新技术企业

  • 首 页 1
  • 产品中心 2
    场效应管 小电流MOS管 超结场效应管 三端稳压管 快恢复二极管 碳化硅场效应管 碳化硅二极管
  • 应用领域 3
    开关电源 适配器 逆变器 汽车电子 通讯设备
  • 服务支持 4
    免费分析 定制服务 常见问题 技术文章
  • 新闻中心 5
    公司动态 行业资讯
  • 关于我们 6
    公司简介 企业文化 荣誉资质 合作伙伴
  • 联系我们 7
    联系方式 人才招聘 留言资讯
CN EN
新闻中心
知天下大事,公展宏图伟业

首页  >  服务支持

公司动态 行业资讯
  • CMOS运算放大器的电源抑制比(PSRR)详细和分析

    CMOS运放电源抑制比,MOS大规模集成电路中既有模拟电路又有数字电路,即模拟电路与数字电路做在同一芯片上,这样数字电路的脉冲信号往往通过电源对模拟电路(如运放电路)产生干扰,此干扰信号使得运放在没有信号输入的情况下产生一个输出信号,从而影响了运放电路的正常工作。在单片式运放电路中,通过采用退耦或与数字电路的电源分开等方法,可以消除这种电源干扰。CMOS运放电源抑制比。

    2021年1月28日

    CMOS运算放大器的电源抑制比(PSRR)详细和分析

    CMOS运放电源抑制比,MOS大规模集成电路中既有模拟电路又有数字电路,即模拟电路与数字电路做在同一芯片上,这样数字电路的脉冲信号往往通过电源对模拟电路(如运放电路)产生干扰,此干扰信号使得运放在没有信号输入的情况下产生一个输出信号,从而影响了运放电路的正常工作。在单片式运放电路中,通过采用退耦或与数字电路的电源分开等方法,可以消除这种电源干扰。CMOS运放电源抑制比。

    2021年1月28日

  • 高速CMOS运放电流转换型参数及放大级电路详解

    CMOS运放电流转换型,高速CMOS运放电流转换型参数及放大级电路详解1、电流转换型运放的框图和基本关系式电流转换型运放的框图如图3.5-8所示。输入级将输入电压转换成电流,此电流经电流放大级放大后,送到输出端,图中的是输入级的输出阻抗,为电流放大级的输入阻抗,为电流放大级的等效输入电容,为电流放大级的输出阻抗,CL为负载电容。为提高放大器的电压增益和单位增益带宽。通常选用低输入阻抗、低输入电容、

    2021年1月27日

    高速CMOS运放电流转换型参数及放大级电路详解

    CMOS运放电流转换型,高速CMOS运放电流转换型参数及放大级电路详解1、电流转换型运放的框图和基本关系式电流转换型运放的框图如图3.5-8所示。输入级将输入电压转换成电流,此电流经电流放大级放大后,送到输出端,图中的是输入级的输出阻抗,为电流放大级的输入阻抗,为电流放大级的等效输入电容,为电流放大级的输出阻抗,CL为负载电容。为提高放大器的电压增益和单位增益带宽。通常选用低输入阻抗、低输入电容、

    2021年1月27日

  • 高速CMOS运放共源-共栅型特点及电路详解

    在许多实际应用中,如高速A/D、D/A转换器和高频开关电容滤波器,都要求运放有较频的建立时间。例如,对于高速A/D,D/A转换器来说,运放的建立时间的长短,往往决定了A/D、D/A转换器的转换速度的高低。可以这样说,运放的建立时间越短,则其速度越快。由本章第三节讨论可知,运放的单位增益带宽越宽、高频极点频率越高则建立时间也越短,因此高速CMOS运放的设计,主要是如何提高单位增益带宽和高频极点须

    2021年1月27日

    高速CMOS运放共源-共栅型特点及电路详解

    在许多实际应用中,如高速A/D、D/A转换器和高频开关电容滤波器,都要求运放有较频的建立时间。例如,对于高速A/D,D/A转换器来说,运放的建立时间的长短,往往决定了A/D、D/A转换器的转换速度的高低。可以这样说,运放的建立时间越短,则其速度越快。由本章第三节讨论可知,运放的单位增益带宽越宽、高频极点频率越高则建立时间也越短,因此高速CMOS运放的设计,主要是如何提高单位增益带宽和高频极点须

    2021年1月27日

  • 单片CMOS运放偏置及输入级与输出级设计电路图

    CMOS运放电路图,介绍的大都是应用于LSI MOS模拟集成电路中的CMOS运放。图3.4-10是单片CMOS运放ICL7613的电路图。它的功耗电流可在外部进行调节,最小的功耗电流是10微安,最低能使用的电源电压是±0.5伏,因此它是一种微功耗运放。ICL7613电路由三部分组成,即输入级,输出级和偏置电路。

    2021年1月26日

    单片CMOS运放偏置及输入级与输出级设计电路图

    CMOS运放电路图,介绍的大都是应用于LSI MOS模拟集成电路中的CMOS运放。图3.4-10是单片CMOS运放ICL7613的电路图。它的功耗电流可在外部进行调节,最小的功耗电流是10微安,最低能使用的电源电压是±0.5伏,因此它是一种微功耗运放。ICL7613电路由三部分组成,即输入级,输出级和偏置电路。

    2021年1月26日

  • 解析低电压CMOS运放的设计及电流转换型低功耗

    低电压、低功耗CMOS运放,低功耗运放,低电压、低功耗CMOS运放的设计并不困难,它与一般CMOS运放区别不大,这里介绍一种电流可关断的,低功耗CMOS运放电路,其电路结构与参数如图3.4-8所示,该电路的电源电压士1.5伏,静态电流约9微安,故功耗只有27微瓦。它是二级放大电路,输入级由MN1,MN2,MP3和MP4构成的差分放大器,第二级为MP9和MN10组成共源放大器;为增大输出级的负向输出

    2021年1月26日

    解析低电压CMOS运放的设计及电流转换型低功耗

    低电压、低功耗CMOS运放,低功耗运放,低电压、低功耗CMOS运放的设计并不困难,它与一般CMOS运放区别不大,这里介绍一种电流可关断的,低功耗CMOS运放电路,其电路结构与参数如图3.4-8所示,该电路的电源电压士1.5伏,静态电流约9微安,故功耗只有27微瓦。它是二级放大电路,输入级由MN1,MN2,MP3和MP4构成的差分放大器,第二级为MP9和MN10组成共源放大器;为增大输出级的负向输出

    2021年1月26日

  • ​高增益CMOS差分放大器运放电路解析

    ​高增益CMOS,为提高增益,其输入级(差分放大器)的负载采用第二章第二节介绍的高阻电流源电路M3∧,M4∧,M3和M4作为负载,并在输出端引入了共栅电路(M1∧和M2∧),从而提高了差分放大器的输出阻抗。这样作为输入级的差分放大器,其电压增益比一般形式的差分放大器的电压增益提高1个数量级。因此,该电路的电压增益可达10000倍以上。图上M7管作为电平位移电路,image.png为输出级共源放大电

    2021年1月25日

    ​高增益CMOS差分放大器运放电路解析

    ​高增益CMOS,为提高增益,其输入级(差分放大器)的负载采用第二章第二节介绍的高阻电流源电路M3∧,M4∧,M3和M4作为负载,并在输出端引入了共栅电路(M1∧和M2∧),从而提高了差分放大器的输出阻抗。这样作为输入级的差分放大器,其电压增益比一般形式的差分放大器的电压增益提高1个数量级。因此,该电路的电压增益可达10000倍以上。图上M7管作为电平位移电路,image.png为输出级共源放大电

    2021年1月25日

  • 分析输出阻抗低、驱动能力强的CMOS运放

    CMOS输出阻抗,图3.4-5是低输出阻抗运放。输出级采用甲、乙类推挽放大器,能驱动200欧姆的低阻负载。为减小失真,输出级在静态时处于微导通状态,其电流偏置由M6~M9来决定。M12作为等效电阻(1/gm1)与补偿电容Cc串联,以消除电路的零点,提高稳定性。本电路正如第二章所说明的那样,其缺点是输出幅度较小。

    2021年1月25日

    分析输出阻抗低、驱动能力强的CMOS运放

    CMOS输出阻抗,图3.4-5是低输出阻抗运放。输出级采用甲、乙类推挽放大器,能驱动200欧姆的低阻负载。为减小失真,输出级在静态时处于微导通状态,其电流偏置由M6~M9来决定。M12作为等效电阻(1/gm1)与补偿电容Cc串联,以消除电路的零点,提高稳定性。本电路正如第二章所说明的那样,其缺点是输出幅度较小。

    2021年1月25日

  • CMOS运放电路工作原理设计及沟道的宽长比计算

    CMOS运放电路工作原理,电路中节点⑦的电位根据电路输出的正向电压最大幅度来确定,输出正向摆幅为5伏,管子的阈值电压为1.5伏,为保证放大器处于饱和区,节点⑦的电位取3.8伏,负向摆幅为-5伏,同样理由,节点③、④定为-5伏左右。节点⑤的电位可根据电路正向共模电压范围来确定,为获得最大正向共模电压,M5漏极的电位取2伏左右。由(3.3-15)式可知,运放最大的转换速率为

    2021年1月19日

    CMOS运放电路工作原理设计及沟道的宽长比计算

    CMOS运放电路工作原理,电路中节点⑦的电位根据电路输出的正向电压最大幅度来确定,输出正向摆幅为5伏,管子的阈值电压为1.5伏,为保证放大器处于饱和区,节点⑦的电位取3.8伏,负向摆幅为-5伏,同样理由,节点③、④定为-5伏左右。节点⑤的电位可根据电路正向共模电压范围来确定,为获得最大正向共模电压,M5漏极的电位取2伏左右。由(3.3-15)式可知,运放最大的转换速率为

    2021年1月19日

  • ​CMOS运放的瞬间相响应与建立时间解析

    CMOS建立时间,CMOS转换时间,CMOS运放的频率特性,是指工作在小信号情况下的额率响应,通常用小信号(正弦信号)来描述,但实际上运放处理的信号很少是正弦信号,通常是阶跃信号,而且运放的响应不能单纯用频率来描述,而用运放的转换速率SR和建立时间来表示,这两个参数是运放瞬态响应的主要参数。

    2021年1月19日

    ​CMOS运放的瞬间相响应与建立时间解析

    CMOS建立时间,CMOS转换时间,CMOS运放的频率特性,是指工作在小信号情况下的额率响应,通常用小信号(正弦信号)来描述,但实际上运放处理的信号很少是正弦信号,通常是阶跃信号,而且运放的响应不能单纯用频率来描述,而用运放的转换速率SR和建立时间来表示,这两个参数是运放瞬态响应的主要参数。

    2021年1月19日

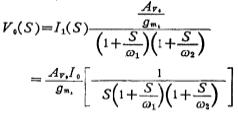
  • CMOS运放的瞬间相响应及转换时间Ts解析

    CMOS转换时间,CMOS运放的频率特性,是指工作在小信号情况下的额率响应,通常用小信号(正弦信号)来描述,但实际上运放处理的信号很少是正弦信号,通常是阶跃信号,而且运放的响应不能单纯用频率来描述,而用运放的转换速率SR和建立时间image.png来表示,这两个参数是运放瞬态响应的主要参数。

    2021年1月18日

    CMOS运放的瞬间相响应及转换时间Ts解析

    CMOS转换时间,CMOS运放的频率特性,是指工作在小信号情况下的额率响应,通常用小信号(正弦信号)来描述,但实际上运放处理的信号很少是正弦信号,通常是阶跃信号,而且运放的响应不能单纯用频率来描述,而用运放的转换速率SR和建立时间image.png来表示,这两个参数是运放瞬态响应的主要参数。

    2021年1月18日

First 444546 Last
产品中心
场效应管
小电流MOS管
超结场效应管
三端稳压管
快恢复二极管
碳化硅场效应管
碳化硅二极管
应用领域
开关电源
适配器
逆变器
汽车电子
通讯设备
服务支持
免费分析
定制服务
常见问题
技术文章
新闻中心
公司动态
行业资讯
关于我们
公司简介
企业文化
荣誉资质
合作伙伴
联系我们
联系方式
人才招聘
留言资讯

0755-83888366

地址

深圳市龙华区大浪街道浪口社区英泰路8号英泰科汇广场2栋1902

QQ截图20201214171905.png

  KIA-公众号 

Copyright ©2015 广东可易亚半导体科技有限公司

粤ICP备14090673号-5

网站地图    

   互联网品牌服务:创同盟

产品中心
场效应管 小电流MOS管 超结场效应管 三端稳压管 快恢复二极管 碳化硅场效应管 碳化硅二极管
应用领域
开关电源 适配器 逆变器 汽车电子 通讯设备
服务支持
免费分析 定制服务 常见问题 技术文章
新闻中心
公司动态 行业资讯
关于我们
公司简介 企业文化 荣誉资质 合作伙伴
联系我们
联系方式 人才招聘 留言资讯

0755-83888366

地址

深圳市龙华区大浪街道浪口社区英泰路8号英泰科汇广场2栋1902

QQ截图20201214171905.png

  KIA-公众号 

Copyright ©2015 广东可易亚半导体科技有限公司

粤ICP备14090673号-5

网站地图    

互联网品牌服务:创同盟