信息来源: 时间:2021-1-18
转换期间,输入级处于限幅状态,输入级的输出电流I 1为

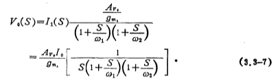
输出电压Vo为

将上式进行拉普拉斯反变换得

因ω2 》ω1,上式可简化为

在t=Ts时,输出电压达到
,即

t=Ts时,解(3.3-9)式得

因
式可简化为

由(3.1-3)式可知:

将(3.3-13)式代入(3.3-12)式得

由(3.3-1)式、(3.3-9)和(3.3-13)式,转换速率SR为

从而(3.3-14)式可写为

联系方式:邹先生
联系电话:0755-83888366-8022
手机:18123972950
QQ:2880195519
联系地址:深圳市福田区车公庙天安数码城天吉大厦CD座5C1
请搜微信公众号:“KIA半导体”或扫一扫下图“关注”官方微信公众号
请“关注”官方微信公众号:提供 MOS管 技术帮助
