信息来源: 时间:2022-8-31
电信号处理器一般分为两类:模拟系统与数字系统。模拟系统以电压、电流,电荷等形式传递信号,它们是连续时间变量的连续函数。音频放大器、无源或有源RC滤波器等是模拟信号处理器的一些典型例子。MOS集成电路在信号处理中的应用。相反,在数字系统中,每一信号用一系列数表示,因为这些数只能包含有限数目的数字(典型的是以二进制数孛或比特形式的编码),它们只能取离散值。而且,这些数是在离散时间上取得的信号的抽样值。故而,数字信号的自变量与因变量均为离散量。因为数字比特的处理常常是同步进行,所以定时或时钟电路是数字系统的重要部分。MOS集成电路在信号处理中的应用。时钟电路提供一个或更多的时钟信号,每个时钟信号都包含有精确的定时脉冲,使系统各组成部分的工作同步或运行。数字系统的典型例子是通用数字计算机,或专用的计算机,例如专用于用快速傅里叶变换(FFT)计算信号的傅里叶变换,或用于语言分析的数字滤波器等的计算机。
讨论的大部分电路是介于上述两种主要类型之间,属于抽样数据模拟系统类。对于这样的系统,像模拟系统一样,信号是用未编码的电量(通常是用电压)振幅来表示。然而,此系统包含一个时钟,如在数字系统一样,信号振幅只在离散的时间瞬刻被测出。在研制本书所讨论的MOS电路之前,最重要的抽样数据模拟系统是电荷转移器件,如电荷耦合器件(CCD)与斗链式器件(BBD)。MOS集成电路在信号处理中的应用。在这些器件里,信号振幅是用从元件到元件转移的电荷量来表示的。除了极少数例外,这些器件不包含反馈回路,它们本质上是非递归的,所以它们更适于那些不需要准确地控制极点和零点的器件(对比一般频率选择滤波器来说),例如抽样数据迟延线、复用器、相关器等这类的应用。此外,它们需要特殊的制造技术,而不是制造数字MOS电路的标准MOS工艺,并且通常需要某种特殊的外部(输入与输出)电路。因这些原因,它们的用途限于比较少数的大公司,在那里,所需要的特殊设计基础与技术都能得到发展与维持。
相反,本书所研讨的电路能够采用标准数字MOS技术来制造,因而能与数字电路放在同一芯片上。这后一点非常重要,例如,在现代电信系统里,常常需要在同一功能块里同时具有模拟与数字功能。MOS集成电路在信号处理中的应用。又这些电路只包含少数标准的构成块:放大器、开关、电容器和偶尔包含电阻器。一旦这些构成块研制出来,并在局部现有技术方面标准化了,那么,只要用略微不同的结构或不同的大小就能适应大量的应用。
要了解模拟MOS电路最常用结构的基本概念,可设简单的模拟传递函数为:

很容易证实图1.1(a)的RLC电路能实现这一函数。虽然这个电路容易设计,制造与测试,但在电路中出现的电感器使得它不能以集成形式来制造。事实上,对于低频应用,此电路有可能需要数值很大从而体积庞大的电感器与电容器。为了解决这个问题,设计者可以决定采用有源RC电路来实现所需要的传递函数。可以很容易地证明,采用三个运算放大器的图1.1(b)电路就能够提供式(1.1)表明的传递函数。以电路不需要电感器,可以用小型的分立元件实现很多的不同要求。然而,结果表明虽然原则上可以把这种电路集成在一个MOS单片上(因为所需放大器、电阻器与电容器都能被集成),但集成时仍有一些主要的实际阻碍。这些阻碍包括RC元件需要极大芯片面积,同时这些元件需要严格的准确度和稳定度。这些要求不能很容易地由集成元件来满足,因为电阻与电容元件的制造值以及温度引起的变动都不互相协调。对大多数应用来说,这样产生的零一极点的变动都太大了。

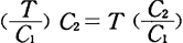
一个能同时解决面积与匹配问题的有效措施就是用一个电容器和几个开关的组合起来代替电路中的各个电阻器。参看图1.2所示的支路。图中,四个开关S1、S2、与S4以远快于终端电压υA与υB变动的速率周期地打开和关闭。开关S1与S4彼此同步工作,但与S2和S3反相。这样,当S2与S3关闭时,S1与S4打开,或者反过来。当S2与S3关闭时,C放电。下一步是S2与S3打开,而S1与S4关闭,C重新被充电到电压υC=υA-υB。这就使得电荷q=c(υA-υB)流经图1.2的支路,然后,C又一次被S2与S3放电。如果这样循环每T秒重复一次(T是开关周期或时钟周期),则流经支路的平均电流为


故iaυ与支路电压(υA-υB)成比例。相仿,对于一个包含电阻器R的支路,得支路电流为
。所以,如果掌握好关系式
则流经这两个支路的平均电流是相同的。
所以可以说,能用图1.2支路来代替图1.1(b)电路中的所有电阻器。所得结果示于图1.3。在此电路内,属于不同“电阻器”但起同一作用的开关已经合并。此外,图1.1(b)中的第二个运放(op—amp)仅仅作为倒相器用,已被取消,这是可以的,因为只要改变与电容器C3相连的两个开关的相位,没有这个运放也可以完成所需要的倒相。从图1.1(b)的电路变换到图1.3电路的细节在第五章5.4节讨论。
图1.3说明,变换后的电路只包含电容器开关与运放。新电路的主要优点是,所有时间常数由过去难以控制的RC乘积决定改为用
形式表示。这里,时钟周期T一般由石英晶体形式表示。这里,时钟周期T一般由石英晶体控制的时钟电路来确定,因此是很准确与稳定的。MOS集成电路在信号处理中的应用。时间常数中的另一个因式是
,也就是片内两个MOS电容的比值。在设计这些元件时,运用一些简单规则(在3.5节叙述),就可能使这个比值得到数量级为0.1%的准确度与稳定度。所得总的准确度比起用一片内电阻器与电容器作RC时间常数能达到的准确度至少要好一百倍。

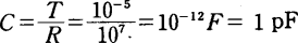
无源元件所需的面积也达到了惊人的改进。为了达到在音频段(例如10krad/s)内的时间常数,甚至于在用了一个大电容器(10pF)后,还需要一个10MΩ的电阻。这样一个电阻器将占约106μm2的面积,这是非常大的,约占一个平常芯片的10%面积。相反,用10μs的周期,实现一个10MΩ电阻器的开关电容电路中的电容为
。为实现这个电容所需面积约为2500μm2,仅为它所代替的电阻器所需面积的0.25%。
用图1.3所示的三种元件(运放、电容器与开关),大量的信号处理电路能够放在单一芯片上。一个高质量的运放能够在5*104到105μm2面积上制成,而一个开关一般只需约50μm2的面积。因为一个大芯片的面积约为5*107μm2,这样的芯片能容纳约100个运放,300个电容器及500个开关。MOS集成电路在信号处理中的应用。从能实现式(1.1)二阶传递函数的图1.3电路推出,这样的芯片的信号处理能力足以能实现总阶次为100的传递函数。事实上,由于低频时运放能够时分(多路复用),还可以实现更高阶的函数:最近提出了一个语言分析器芯片5,它除了实现大量的片内数字电路以外,还实现了总共具有308个极点的开关电容滤波器!
除去为频率选择滤波已广泛应用的图1.3介绍的开关电容(SC)电路外,这样的电路还能有许多其它功能。其中包含模数(A/D)与数模(D/A)的数据变换;为自动增益控制(AGC)及其它应用的可编程增益放大;以及一些非线性运用,如乘法、调制、检波、整流、零交叉检测等等。MOS集成电路在信号处理中的应用。它们也广泛地被用于大的混合模拟一数字系统,如编译码器、调解器与语言处理器。由于元件、特别是运放的质量(带宽、动态范围等)的改进,以及引入更好的电路技术,可以期待应用范围将进一步扩大。
联系方式:邹先生
联系电话:0755-83888366-8022
手机:18123972950
QQ:2880195519
联系地址:深圳市福田区车公庙天安数码城天吉大厦CD座5C1
请搜微信公众号:“KIA半导体”或扫一扫下图“关注”官方微信公众号
请“关注”官方微信公众号:提供 MOS管 技术帮助

