信息来源: 时间:2022-8-1
强反型区的精确电容表达式可利用上面的电容定义,并结合对应于4.4.1节中的精确模型的电荷表达式推导出来。这些电荷表达式在附录L中给出。可是,导出的电容表达式是复杂的。
为了简单一些,可利用对应于、4.4.2节中的近似模型的电荷表达式来推导近似的电容表达式。事实上,使用中的大多数电容模型是从这些电荷表达式导出来的,这些电荷表达假设了单位面积耗尽区电荷Q´B晶体管长度方向是均匀的,即假设电荷Q´B不受沟道的相对于衬底的反向偏压VCB从源到漏变化的影响。这个假设是不准确的,它对应于在式(7.4.13)中设δ=0。让δ≠0会更好一些。按人们所考虑的δ值和δ函数关系(4.4.2节)的通用程度不同,导出的电容表达式可以从简单到非常复杂。简单性和精确性之间的一个较好的折衷方案,可基于以下两个假设而得到:
(1)δ的值等于

这是4.4.2节中对δ的选择之一
(2)δ1对VS和VB的导数可以忽略,即对电荷表达式求微分时,δ1将作为常数对待。这些假设简化了计算,因为包含VT项的电荷表达式每次对VSB求导时,将会产生dVT/DVSB=δ1项。这一项可与其他含δ1的项合并在一起,从而导出简单的电容表达式。由4.4.2节中的内容可清楚地看出,上述假设可以证明是正确的,尤其是在小VDS和大VSB的情况下。因此可以预料,在这些情况下导出的电容表达式的精度是好的。在大VDS和(或)小VSB的情况下,可以预料会有某种误差。然而,这样的误差符合近似模型的总精度。还有,这一误差也仍小于普遍使用、的表达式(基于单位面积耗尽电荷是均匀的假设)小的误差。以后将要说明怎样减小上述误差。
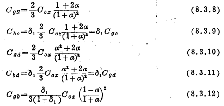
然后把δ=δ1代入式(7.4.15)和式(7.4.17),再应用定义式(8.3.1)至(8.3.5),并忽略δ1对Vs和VB的导数,经过一些代数运算之后,我们得到:

式中Cox是总的本征氧化层电容:

α是定义于式(4.4.31),并绘于图4.13的参数。
上述表达式给出的曲线,在图8.14中用虚线绘出。实线表示根据通用电荷薄层模型进行精确计算所得到的相同电容(采用精确反型模型提供的结果与采用通用模型的结果基本上相同)。在图8.14中,用于近似模型的V´DS的值(V´DS出现在α的表达式中)已选得同精确结果所预测的值一值。这可通过适当地选择直流公式的δ来进行,也就是说,假设在直流公式中δ选得和用于电容表达式中的δ1无关,否则,直流漏端电流的精度将要受到影响。对于Og。和Cgd,近似模型与精确模型的一致性显然是很好的。这些电容的特性在本节的后面部分将要直观地加以讨论。


可见当VDS=0时,CbS、Cbd和Cgb的表达式是准确的。当VDS较大时,尽管与此同时VSB较小(图8.14a),但精度还是不好。然而,在许多电路应用中,上述误差带来的后果并不严重,因为CbS,Cbd和Cgb通常很小,且与其他电容(例如,非本征电容和电路中其他器件的电容)并联。特别是CbS,通过源-衬连接常常被短路。也应指出,在上述误差之内,三个电容表达式能令人满意地跟踪氧化层厚度和衬底掺杂浓度的大幅度变化(这是对任何模型都希望具有的特性)。若要求有更高的精度,则可对δ1真采用类似于从式(8.2.12)推导到式(8.2.14)那样的一种修正。因此,如果在电容表达式中,用下式代替δ1:

其中kc是一个较小的数(例如0.1到0.2),则模型的精度可以得到显著的改善。
从式(8.3.8)至式(8.3.11),(8.3.14),(8.2.10)和(8.2.14), 我们得到下面有趣的近似结果(它们主要在VDS较小和VSB较大时是有效的):

VDS=0时,该结果就成为准确的了。
现在来考虑两种感兴趣情况下的电容。
VDS=0时的非饱和。
当VDS=0(α=1)时,从电容表达式得出:
不难说明,这些结果直观地来看似乎是有理的。当DS=0时,沟道如图8.15所示。实际上,所有栅电场的场强线都终止于反型层(假设整个反型层都处于强反型)。若VG和 VB保持不变,VS和VD都增加同一量ΔV,则氧化层两端的电势在每一点上都将减小ΔV。因此,相应的栅电荷将减少COXΔV。如果不是这样,只有VS增加ΔV,而VD保持不变,则氧化层两端的电势的改变量将从源端的ΔV变化到漏端的0。当ΔV很小时,这一变化是线性的。不难看出,现在栅电荷的减少量将只有前面的一半,即
。这样,恰当地模拟这一效应所需要的Ggs值是
。对Cgd可给出类似的论述,从而证明了式(8.3.16)是正确的。
Cbs和Cbd的值可以用类似的方法来讨论。这里,可以应用上面用过的论述, 但要把Cox用Cb(Cb是由反型层和衬底形成的反向偏置“场感应结”的总电容)来代替。这样,

Cb的值可由场感应结的面积WL五乘以单位面积电容来得到,这单位面积电容可由类似于式(1.5.20a)的表达式[式(1.5.20)中的VR用VSB代替,ΦO用场感应结的“自建电势”ΦB代替]给出。这样,有

如果认识到,从式(3.4.11)有
,并利用式(8.3.13),则可得到:

现在我们将试图说明直观地看来,表示在式(8.3.15)中的跨导关系似乎是有理的。考虑VDS很小但不为零,因而ID也很小且不为零(如果VDS=0,我们就不能谈论gm和gmb)。只要VDS很小,就不会明显地破坏沟道中的均匀性,情况实际上将如图8.15所示。现在保持VB,Vs和VD不变,令VG变化ΔVG,这将引起反型层电荷的数值改变

对应的电流变化

用“背栅”代替前栅,重复这一实验,我们得到:

由于反型层是均匀的,故电流正比于QI。因此,ΔID1/AID2=∣/∣ΔQI2∣。把这一关系式中的一些量用式(8.3.22)至式(8.3.25)中对应的右边的量来代替,可以得到Cb/Cox=gmb/gm;此式与式(8.2.21),(8.3.9)和(8.3.11)一起使用,得出的结果与式(8.3.15)]:

现在来考虑Cgb。在VDS=0时,与固定电压Vs=VD相连的强反型电子层使得氧化层两端的电压,在所有点上都保持固定不变,即使VB变化时也是这样。因此,栅感受不到变化,故有ΔQG=0。这可以由下式来模拟[见式(8.3.5)]:

换句话说,强反型层相当于整个沟道的一个“屏蔽”层,保护栅不受衬底的影响。
值得指出,当VDS=0时,对应于精确模型的复杂的电容表达式准确地简化为式(8.3.16)至式(8.3.18)。不难找出,这样完全符合的原因是我们对δ值的选择。实际上,在4.4.2节中曾看出,δ=δ1确实是VDS=0时的最佳选择。
和饱。在饱和区(邙二0),从式(8.3.8)至式(8.3.12),有;

关于Cgd和Gbd的结论不难说明如下:在饱和区,从漏到器件其余部分的联系因夹断现象而被隔断(忽略沟道长度调制效应)。因此,当VD变化时,本征器件不受影响,其中所有电荷都保持原样。尤其是ΔQG=0和ΔQB=0。从式(8.3.3)和式(8.3.4)可知,这意味着Cgd=0和Cbd=0,与式(8.3.29)和式(8.3.30)一致。
现在考虑式(8.3.27)中的Cgs。与精确模型及测量(见下面)相比,发现该值是精确的。Cgs小于Cox。这一事实常常使人感到惊讶,因为人们倾向于认为反型层是一个电容的两个“平行极板”中的下面一个极板,而另一个极板是栅。如果真有一块平行金属板全部在氧化层下面(忽略靠近漏的夹断区),且该金属板又如果与源相连与而漏断开,那么,事实上可得到等于Cox的电容。这是因为假如源的电势变化ΔVs, 则在沿沟道任意位置x处,将有∣Δψox(x)∣=∣ΔVs∣,其中ψox是氧化层电势。然而,这不是晶体管中所发生的情况。运用4.4.3节中的分析和式(3.2.2)可以说明,只有在沟道的源端才有∣Δψox(x)∣=∣ΔVs∣,随着越来越靠近漏端,∣Δψox(x)∣就越来越小(事实上,对于4.4.1节的精确模型,可以说明在饱和区,漏端的ψox固定在一个值上,该值对应于和Vs无关的栅-漏阈值电压)。这样,距源越远的点感受到电势的变化就越小,因而对栅电荷改变的贡献也就越小。这就是为什么Ggs小于Cox的原因。
现在来考虑饱和时的Cbs。在大VSB和小V´DS的情况下,可以获得关于结论
Cox=δ1Cgs的一个直观认识(于是不难证明δ=δ1的选择是正确的)。在这种情况下,沟道相对于衬底的有效反向偏压沿沟道方向变化不大。因此,正如上面VDS=0时的情况那样,耗尽区宽度近似是均匀的。于是沟道对衬底和栅的影响(当Vs变化时)可以预期和VDS=0时的情况(上面已讨论)类似。因此,模型预测Cbs=δ1Cgs。就不足为怪了。如果上面的偏置电压条件不满足,则上面凭直觉得到的结论便不再成立:事实上,正如已看到的那样,此时,模型是有误差的。若VGS,因而也是V´DS较大,随着向漏靠近,耗尽区的宽度将显著增加,使得沟道对衬底的影响(当Vs变化时)变弱。于是,可以发现CbS小于δ1Cgs,正如已看到的那样。
最后,我们考虑Cgb。假设图8.11d中的VB变化ΔVB,像上文中所解释的那样来进行分析,发现这时所引起的氧化层电势的变化ΔψOX,虽然在源端为零,但在其他点上变得不为零了,事实上,朝着漏的方向∣ΔψOX∣增大。(例如,对于4.4.1节中的饱和时的精确模型,在漏端,ψOX的值正如已提到过的那样,维持在一个值上,该值对应于栅-漏阈值电压;当VB改变时,这个值由于该点上的体效应而发生改变。)ψOX(X)的变化量不为零使栅电荷的变化量也不为零。因此,如式(8.3.31)所预测的那样,Cgb不为零。
在结束强反型电容的讨论时,应当指出,表达式(8.3.8)至(8.3.12)虽然是利用近似模型电荷导出来的,但有时也可把它们与其他模型一起使用。显然,在这种情况下,α的表达式中应该采用这些模型所预测的V´DS值,以便和由这些模型所预测的ID-VDs特性一致。
联系方式:邹先生
联系电话:0755-83888366-8022
手机:18123972950
QQ:2880195519
联系地址:深圳市福田区车公庙天安数码城天吉大厦CD座5C1
请搜微信公众号:“KIA半导体”或扫一扫下图“关注”官方微信公众号
请“关注”官方微信公众号:提供 MOS管 技术帮助