信息来源: 时间:2022-2-21
最先Yau提出了耗尽电荷共享模型分析产生短沟效应的物理原因。该模型虽然比较粗糙,但可以较直观地说明问题。由于沟道缩短,源漏耗尽区与栅耗尽区之间的重叠成为总的表面反型耗尽电荷中不可忽略的部分。在这种情况下,为达到表面反型所要求栅区耗尽掉的电荷量,不仅被VG的栅场所耗尽,而且部分被源漏区的pn结所耗尽。这样,达到开启的栅压就会比不考虑电荷共享的GCA公式降低。沟长越短,共享部分所占的比例越大,开启电压降低越多。这一模型定性来看是容易理解的。
为了适宜小尺寸器件组成的VLSI的电路模拟,在SPICE程序中提供了两种小尺寸器件模型,即MOS 2和MOS 3。它们都是根据电荷共享模型分析短沟效应。
MOS 2的短沟模型如图1.13所示。为了便于计算,将源漏pn结的侧向近似为四分之一圆形剖面,其半径就是结深xj。结耗尽区宽度采用平面结近似计算公式。从几何上找出栅耗尽底部与pn结耗尽区的交点c、b,它们与栅长ad形成一个梯形区作为栅压开启的耗尽部分。由于梯形区面积小于原来考虑的矩形区面积,因此它对应的耗尽电荷量Q′B小于原来的QB。

设W为栅耗尽区的宽度,由图1.13可得:

在VTB的公式中用Q′B代替QB,即

其中

由于VS、VD不同,所以分别考虑源漏对耗尽电荷QB的影响,可得:

其中

Ws和WD分别为源区和漏区的耗尽宽度。
由此可知,MOS 2模型不可能达到应有的计算精度。一方面电荷共享模型本身很不严格,划分栅耗尽电荷时有很大的任意性;另一方面为了便于计算作了一些与实际情况不符的假设近似,如圆形结剖面、结耗尽宽度用平面结公式计算等。
实验证明,MOS 2模型对L<3μm的器件的计算结果误差很大,不能使用。
MOS 3模型是MOS 2基础上的改进,力图适应模拟短沟器件的要求。主要改进如下:
1、考虑了DIBL效应(即漏场感应势垒降低效应)。因为在短沟情况下漏电场会明显影响源漏之间的电场分布,漏电压穿过栅下区会影响源端的电场,降低源附近的势垒,由此导至源漏电流的增加和开启电压的降低(有关DIBL效应,将在第二章中进行较详细的介绍)。由于在MOS 3模型中考虑了DIBL效应,可以弥补电荷共享模型中低估漏场对开启降低的作用的不足。
2、pn结侧向不用圆形剖面近似,而以椭圆形剖面代之。由于pn结的侧向扩散距离明显小于结深,使MOS 2模型与实际情况不符,造成计算结果的误差。考虑到结深xj与侧向扩散距离的不同,以椭圆剖面近似要合理得多。
3、用柱形坐标系计算耗尽层的宽度。用平面近似来计算结耗尽层宽度显然是不合理的,完全是出于计算简便,由此必然也给MOS 2模型带来可观的误差。在MOS 3模型中结的侧面是椭圆柱面,因此改用在柱形面坐标系中求解泊松方程,计算耗尽层宽度,使其与实际情况较好地吻合。
图1.14是MOS 3模型分析电荷共享的剖面图。它考虑源漏电压VDS为零的情况,把漏电压的影响归到DIBL效应中去。当然,这样的简化处理也是一种近似,会带来误差。

MOS 3的短沟开启电压表达式为:

与MOS 2相比多出了一项“
”,反映了DIBL效应引起VTB的降低。其中系数σ与沟长L密切相关,可分析得

其中
为一经验常数,η是一个与工艺有关的拟合系数。由上式可知,随着L的缩短,σ迅速地增加,与DIBL效应的物理模型相一致。VTB也随VDS的增加而下降。
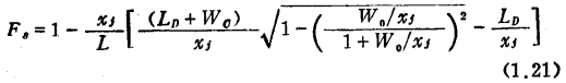
对
项的修正表达式与MOS 2略有不同。以
代替
,
为小于1的系数。它的求解方法是根据图1.14的剖面,从几何上求出栅耗尽区底部与S/D结侧向椭圆耗尽面之间的交点,从而得到对应于
的梯形及
。由解析几何法可得

其中:LD为结的侧向扩散距离;
W0为栅区耗尽层的宽度,表面反型条件下,

W0为pn结椭圆剖面在侧向表面的耗尽层宽度。它通过求解柱面坐标中的泊松方程而得:

这是一个超越函数,如要严格求解W0,需要进行多次迭代,很费机时,不适合于电路模拟计算。因此,采用多项式展开以得到W0的近似解:

d0、d1、d2为三项展开系数,计算得:
d0=0.0631357
d1=0.8013292
d2=0.01110777
上述的多项式与超越函数解析式(1.22)相比,误差在5%以内。
联系方式:邹先生
联系电话:0755-83888366-8022
手机:18123972950
QQ:2880195519
联系地址:深圳市福田区车公庙天安数码城天吉大厦CD座5C1
请搜微信公众号:“KIA半导体”或扫一扫下图“关注”官方微信公众号
请“关注”官方微信公众号:提供 MOS管 技术帮助

