信息来源: 时间:2022-2-18
沟道区注入杂质与衬底同型,形成杂质浓度在表面附近高、向衬底方向渐减的分布趋势。器件的特性与具体的杂质分布函数有关。用离子注入得到的分布函数与它的注入剂、能量以及后步热处理等条件有关。
较大能量的深注入在表面附近形成如图1.2所示的对称高斯分布,其峰值在表面以下。较浅注入的情形,峰值基本上在表面,形成近似单边高斯分布。后步的热处理使峰值附近的变化趋于平缓。综合深、浅注入及后步热处理,最终形成近似于图1.3所示的三段式分布:起始段是表面附近的平坦分布,而后是近似呈指数下降段,最后是浓度为Nsub的均匀衬底段。
在此,我们先用“BOX”作更简单的近似,然后再对三段式分布的MOS管特性进行分析计算。所谓“BOX”近似是把注入杂质看成分布在表面附近的矩形盆内,如图1.3上用点划线所标出那样:在x为0到D之间为注入区,它的杂质浓度均匀地为
在X=D处N发生突变;在X>D区无注入杂质,N=Nsub。
设离子注入的单位面电荷剂量为
,则有

MOS管的特性受到注入深度D和剂量
的影响。根据D的大小,分成三种情形进行讨论。
1、D很浅,
,其中
是表面达到反型时的耗尽层宽度。在此情形下,可以近似认为注入剂量集中在表面,则有

其中
为衬底区的单位面积耗尽电荷量。
,即把
并入平带电压中,作为新的乎带电压的一部分,因此根本不需要改变原来计算MOS特性的公式,是最简易的理想情况。在SPICE电路模拟程序中就是采用了这样的理想分布情况。但实际情况并不如此理想。由于注入和后热处理等因素起作,D总有一定的深度,并且可以与
相比拟。因此,一般不能采用上述的理想情况进行分析计算,否则会带来较大的误差。
2、
,即表面达到反型的耗尽区在注入区以内。这是一种深注入的情形。由于耗尽区未出注入区,所以相当于把 MOS管做在杂质浓度为Ns的衬底上,则有

其中
为杂质浓度为Ns的费米势,
为在注入区耗尽的电荷量,可表示为:

由于Ns>Nsub,结果使开启电压和衬偏系数大大增加,给MOS管的特性带来不良的影响。因此,这种情况在实际中不采用。
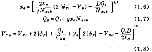
3、
,这是实际工艺中常见的情形,即注入深度D小于表面达到反型时的耗尽区宽度,但两者仍能相互比拟。因此,耗尽区分为两部分,即近表面浓度为
的注入区及注入区以外浓度为Nsub的衬底。
解一维泊松方程,得

由(1.8)式可知,在
情况下,当注入剂量
一定时,D越大,VTH越小。这是因为D越大,表面势受注入区电荷的屏蔽越强,使
及
越小。
D的存在也会引起表观衬偏系数y*变大,这可从下式看到:

只有当
时,才能有
。图1.4画出在不同D下的VTB衬偏特性的计算曲线。由图可见,当xd<D时γ很大,而xd>D时γ为虽呈减小趋势,但由注入引起对γ的影响,在xd比D大得不多时仍旧是十分可观的。
为了使γ尽量不要增大太多,在工艺和电路设计上应当采取如下措施:
1、注入尽量浅,即D尽量小。为此必然要选用合适的注入能量,使注入杂质集中在表面附近。更重要的是注入后的热处理温度要尽量低,以减小注入杂质的热推进深度。
2、衬底加上一个负偏压VB,增大xd,使它比D大得多一点。
上述的分析是建立在“BOX”近似基础上的,与实际分布偏差较大。当然,用严格的分布函数求解它的电参量解析表达式也是十分困难的。因此,可采取折衷方法。用图1.3所示的三段近似分布求解泊松方程,所得结果应较“BOX”近似精确得多。
三段近似分布的数学表达式如下:

由此可得注入总剂量
及

在上述条件下求解泊松方程,得到耗尽电荷QB及衬偏系数y与衬偏项
的关系如图1.5(a)和(b)所示。

由图可见,由于沟道区在深度方向上增强掺杂的浓度逐渐减少,y随
加大(xd加大)也会减小而趋近于
随着衬偏项的变化而上升减慢。根据曲线变化的趋势可合理地设定QB和γo与VBS关系的近似表达式如下:

其中
及γo是无注入情况下的QB及y,应有

b1、b2和b3是三个与杂质分布有关的系数,其中b1是与NA有关的大于1的数,
。当VBS=0时,耗尽区在近表面,
,即增大b1倍;当
时,耗尽区远离注入区,则有
。
最后要说明一点,表面沟型MOS器件的导电载流子主要集中在表面附近,它们的迁移率μs。由于受界面态等缺陷散射的影响而大大低于体迁移率。例如,NMOS的电子表面迁移率为600Cm2/V·s左右;PMOS的空穴表面迁移率为200cm2/V.s左右。
联系方式:邹先生
联系电话:0755-83888366-8022
手机:18123972950
QQ:2880195519
联系地址:深圳市福田区车公庙天安数码城天吉大厦CD座5C1
请搜微信公众号:“KIA半导体”或扫一扫下图“关注”官方微信公众号
请“关注”官方微信公众号:提供 MOS管 技术帮助

