信息来源: 时间:2021-11-26
图4.1表示在较低的外加漏-源电压下工作时n-沟道MOS场效晶体管的截面图。因为栅-漏之间电势差稍小于栅-源之间电势差,栅极绝缘物内沿x方向的电场强度随着y从沟道源端y=0增加到沟道漏端y=L而相应地减少,从而如图所示,沟道源端附近的微分电导将大于沟道漏端附近的微分电导。长度为dy宽度为W的沟道元的微分电阻等于


式中Qn(y)是作为y的函数的单位面积n-型表面反型层的电荷密度。Qn(y)为负值。当源极与衬底全都保持零电位而外加漏电压为正值时,沟道元两端的电势差等于

沿沟道从y=0(此处V=0)积分到y=L(此处V=VD)得到漏极电流的表达式:

可以假定,如(3.4)所述联系到栅极上,栅极绝缘物内,和硅表面的电荷密度的电荷中性条件,作为y的函数在结构内任何一点都成立。单位面积硅表面总电荷密度由(2.18)给出可以写成

通过(3.6)Qtotal(y)可以用栅极电压减平带电压和表面电势来表示。这个结果是

必须强调,原来从高斯定律得到的电荷中性条件是假定栅极绝缘物内的电力线是垂直于硅表面的。(这是采用一维模型合乎逻辑的结果)然而在MOS场效应晶体管结构中,所用的漏-源电势将在硅表面产生沿y方向的横向电场。于是,对于电荷中性在结构内0<y<L任何一点成立的原始假设,我们还必须假定沟道电导是沿y方向逐渐变化的,而且横向电场强度εy的数值远远小于垂直电场强度εx的数值。因此,氧化物-硅界面的电力线是假设近似垂直于硅表面的。这个假设称为渐进沟道近似,首次由肖克莱(Shockley)在研究单结栅场效应晶体管时提出1。
如果源衬都保持零电位,而且外加漏电压为正,则表面电势同沟-衬结反偏压的值一样,将随y值的增加而增加,在整个沟道的硅表面发生强反型的条件下,作为y的函数的表面电势近似等于

式中фF为p型硅衬底深部的费密电势。V(y)是作为y的函数的沟-衬结的电势差。
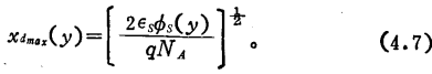
当表面发生反型时,表面耗尽层最大宽度,参照(2.31)可以写成

要注意的是,由于上述沟-衬两端的反偏压,表面耗尽区的最大宽度将随着沿沟道源端到沟道漏端位置的变化而增加。用式(4.6)和(4.7)即可得到在0≤y≤L时,单位面积耗尽区电荷密度表达式:

用(4.4)和(4.5)即可以得到n型表面反型层的可动电荷密度;

将(4.6)和(4.8)代入(4.9)于是得到

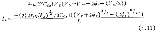
现在再将(4.10)代入(4.3),然后积分即可得到漏极电流的表达式

现在令

和

则漏电流可以写成

函数ф与硅衬底掺杂浓度的函数关系如图4.2所示。

联系方式:邹先生
联系电话:0755-83888366-8022
手机:18123972950
QQ:2880195519
联系地址:深圳市福田区车公庙天安数码城天吉大厦CD座5C1
请搜微信公众号:“KIA半导体”或扫一扫下图“关注”官方微信公众号
请“关注”官方微信公众号:提供 MOS管 技术帮助

