信息来源: 时间:2021-4-21
集成电路是由晶体管组合而成的,因而在集成电路设计中希望单个晶体管的特性简单。为此,多采用粗略近似的简单表达式。其要点如下。
这类简单的表达式之一是,流过MOS晶体管的电流有与饱和区有效栅电压的平方成正比1)的关系。MOS晶体管特性。这一关系基于这样的事实;当半导体内感生的载流子电荷Qs与有效栅电压成正比,漏电压在源端产生的电场也与有效栅电压成正比时,特性曲线趋于饱和。
关于电流的另一近似是漂移电荷的速度达到极限速度(硅中的电子速度约为8.5×106cm/秒)的场合,这一近似表明源-漏距离缩短,电场增强时,漂移速度趋于某一极限。因此,这一近似可用来限制电流的最大值。在这一近似中,因电流与电场无关,所以电流与有效电压的一次方成正比。
决定这一电流的有效栅电压可由栅-源间所加的电压以及下述的阈值电压
求得。

如上所述,在有漏电流流动的区域,欲用阈值电压
表现漏电流和栅电压的关系时,可将该电流区域漏电流与栅电压的关系曲线外推,将漏电流变为零的栅电压定义成
。这是一种可用的无误差方法。MOS晶体管特性。亦即,如在对栅电压呈现平方律特性的区域应用时,将平方律区域漏电流变为零的栅电压取作阈值电压
。
MOS晶体管,一般用半导体衬底以及相反导电类型的源漏区域构成,没有电流流过衬底。由于沟道载流子是与源漏同一类型的载流子是与源漏同一类型的载流子,也可以认为半导体表面在电场作用下反型时,晶体管才开始流过电流,但按平方侓特征流过电流时,与衬底导电类型相反的表面载流子浓度与衬底杂质浓度NB几乎变为同一量级,表面耗尽层电荷的增加可以忽略。此时的表面势фs为体内费米势фPB的两倍,但与фPB的方向相反,如图3.13所示。也就是说,在
附近栅电压的变化部分不仅在沟道内生成可动电荷,也可使耗尽层内的杂质电荷充放电,与平方律特性发生歧离,但在很好地显示出平方律特性的附近,可将平方律特性外推,求得漏电流为零时的栅电压。

阈值电压
可用表面势-2фPB、此时的表面耗尽层电荷QB通过栅电容(单位面积电容Co)感生的电压
,补偿氧化膜中有效电荷Qo的电压-Qo/Co以及栅金属与半导体的功函数差фMS来表示。亦即

式中,正号表示N沟道,负号表示P沟道。
漏-源间的电流IDS在沟道中是连续的,设沟道长度为L,宽度为W,则有

等式两边均从x=0积分到L,整理后得

此式在沟道中的最高电压——漏端电压VDS低于
时成立;如VDS高于
,漏-沟道之间的耗尽层变宽,在加宽的部分产生电压降,在有意存在载流子的沟道内,最高电压总是
。因此,电流趋于饱和,其数值大致恒定,用下式表示

但漏电压VDS高于
时,假定耗尽层在漏和沟道之间延伸的宽度为ΔL,因有

电流不完全饱和,有效沟道长度受漏电压调制,于是出现了图3.14所示的输出电导4),这与双极型晶体管中的基区调变效应十分相似。MOS晶体管特性。衬底杂质浓度高,ΔL就小,输出电导随之减小,(下面将要讨论的)gm也减小3),所以要根据用途选择最适当的浓度。
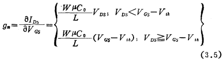
跨导定义为漏电流IDS随输入电压即栅电压VGS的变化,是表示器件性能的重要参数之一。将式(3.3)、(3.4)微分后得下式

联系方式:邹先生
联系电话:0755-83888366-8022
手机:18123972950
QQ:2880195519
联系地址:深圳市福田区车公庙天安数码城天吉大厦CD座5C1
请搜微信公众号:“KIA半导体”或扫一扫下图“关注”官方微信公众号
请“关注”官方微信公众号:提供 MOS管 技术帮助

