信息来源: 时间:2021-4-8
几乎所有的真空管反馈振荡电路均可用于MOS场效应晶体管振荡电路,并且与真空管相比,MOS场效应晶体管的热容量小,发热也少:与双极型晶体管相比,其非线性小,输入电导小到可以忽略的程度,因而可以得到良好的频率稳定度。振荡器通常采用单栅型,故本节只叙述单栅型电路。
基本的LC振荡电路有图2.48所示的四种。这些电路如图2.49所示,都可以看作是场效应晶体管并联有反馈电路。因此,总的y参数〔Y〕可表示为场效应晶体管的〔y〕参数与反馈电路的(y')参数之和。

由于四端网络处于振荡状态,所以

必须成立。
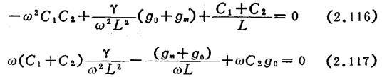
图2.48(b)的科耳皮兹电路,可参照图2.50将(y')写作


〔y〕可简单地看作

从▏Y▕=0的实部与虚部等于0的条件可得

两式经适当省略次要项,可求得频率和必要的gm值

图2.48中列有这些振荡条件,最下一栏列有反馈电路的电压反馈率。
其它电路的反馈量是通过改变M(L1/L2的匝数比,耦合量)来调节的,与此相反,科耳皮兹型电路的反馈量可用C1/C2比来控制。前者适合用于较低频率,而后者适合用于甚高频直至超高频频段。MOS场效应晶体管高频振荡电路。为了使振荡工作点和振荡振幅稳定,有旁路源电阻法与采用直流反馈二极管和漏泄电阻的偏置法。
振荡输出或由取出输出信号用的线圈作感应耦合,或在高频不接地的漏或栅接入耦合电容器来获得。
振荡器的变动有振幅变动和频率变动,而后者尤为重要。
振荡器变动的原因有电源(偏置点),负载、温度、湿度的变化以及机械振动等。对于后三种原因可采取措施,如改善并补偿LC的温度系数,防潮以及改善机械结构等。电源的变动可导致包括场效应晶体管非线性在内的一些参数的变化,从而改变振荡频率。
一般,利用非线性负阻的振荡器,会根据高次谐波的含量改变基波频率。为避免此种影响,可考虑或减小振荡幅度,或提高谐振电路的Q值以防止产生高次谐波。如利用列伟林(Llewellyn)在真空管振荡器研究中所得的结果,在漏或栅上串接适当数值的电抗,可获得与场效应晶体管的非线性电导等无关的振荡频率(电抗稳定法●)34)。适当的电抗值如图2.51所示。MOS场效应晶体管高频振荡电路。但这种稳定法不能补偿电容参数的变化,实际应用上因调谐附加电容大,所以只限用于较低的频率。


为避免场效应晶体管输入输出电容的影响,振荡器可采取两种变形电路,如图2.52所示。图2.52(a)是哈脱莱电路的变形,线圈有抽头与场效应晶体管连接。图2.52(b)是用与小电容C3串接的L来代替科耳皮兹电路中的L,可使C1、C2大一些,称为克拉普电路,被广泛应用。

上述电抗稳定法的调节比较困难,而这里的方法与之相反,在较宽的频率范围内可较易地构成电路。
如前所述,频率稳定性受各种因素的影响,所以大多采取先大体上确定振荡器的结构,然后再通过实验设计振荡电路的办法。此处介绍利用汉切(Hanchett)的结果35)的振荡器设计方法。
这里用1.5MHz哈脱莱型振荡器进行实验,首先改变反馈量,测量频率随漏电源电压的变化。得到的结论是:反馈量以15%为宜;就频率稳定度而言,以源电阻偏置法为佳;就输出振幅的稳定度而言,以直流反馈法为佳(参见图2.53、2.54)。直流反馈法在负载变动对频率稳定度的影响方面也显示出优良的特性(参见图2.55)。MOS场效应晶体管高频振荡电路。用同样的方法也可对其它振荡器的设计进行评价。


随着频率的增高,为了要补偿损耗,反馈呈一般宜取得大些。
实用的高稳定度可变频率振荡器的例子,如图2.56所示。为使振荡器稳定。以
构成分压电容的一端,与场效应晶体管的栅相连;为使振荡器稳定且输出阻抗低,要配备两级缓冲放大器。接通电源后30秒到2小时的期间内,频率漂移值为30Hz。
场效应晶体管也能容易构成晶体振荡器。图2.57相当于真空管的皮尔斯栅-阴电路,反馈是通过
取得的。此时漏电路必须是电感性的(哈脱莱型)。所以调谐电路必须调谐于比振荡频率高的频率。图2.58相当于皮尔斯的板-栅型,漏电路必须是容性的(科耳皮兹型),但也可以利用场效应晶体管的Coss,构成图2.58(b)所示的不调整型电路。

为获得谐波●振荡,其电路如图2.59所示。由C'D-C"D构成的反馈分压电路,对三次谐波振荡几乎是不必要的,但对五次谐波、七次调波却是必要的,槽路被反馈分压电路不完全地旁路掉,C"D/C'D约等于3。
图2.60是采用互补型MOS倒相器的振荡器,振荡频率在200kHz以下。MOS场效应晶体管高频振荡电路。其特点是在1.5~15V电源电压下以μW级的微功耗进行工作30)。
联系方式:邹先生
联系电话:0755-83888366-8022
手机:18123972950
QQ:2880195519
联系地址:深圳市福田区车公庙天安数码城天吉大厦CD座5C1
请搜微信公众号:“KIA半导体”或扫一扫下图“关注”官方微信公众号
请“关注”官方微信公众号:提供 MOS管 技术帮助

