信息来源: 时间:2021-3-30
MOS场效应晶体管中的噪声,有热噪声和闪变噪声。热噪声在本质上是必然要发生的,闪变噪声从原理上应该说是可以消灭的,但在实际的器件中,闪变噪声或1/f噪声是具有代表性的噪声,在极低频的噪声中起决定性的作用。此处先讨论比较简单的热噪声,再讨论1/f噪声。
因沟道内电子的无规热运动而产生热噪声,这个热噪声通过沟道内的电阻生成热噪声电压。当求由此而生成的热噪声电流时,须注意到热噪声电压会使沟道电势发生变化,相当于有效栅电压随之改变,因而漏电流也发生变化。

如图1.16所示,设沟道内距源端为
的区间两端产生
的电压涨落。即设
处的电势涨落为
时,则有

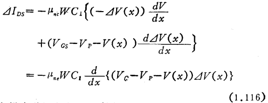
作为表示MOS场效应晶体管的漏电流和沟道电势之间关系的表达式如采用最简单的公(1.13),即

则因点
处电势涨落
而引起的漏电流的涨落
可写为

如设沟道长度为L,则源接地而输出处于短路状态的噪声电流为

从而当
时


当
时

如将
的值代入式(1.118)中的
,将
的值代入式(1.119)中的
,
当然就成为整个沟道的通用值,因而

处的沟道单位长度的电导
为

可写成

至此,并未考虑
是由何种原因引起的。当原因系热噪声的场合,假定
之间的电阻为
,
为所研究的频带宽度。
则有

因

于是

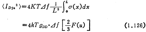
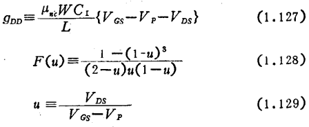
热噪声不仅在
的区间发生,而是在整个沟道区域都要发生的。今设漏电流的噪声分量为
,采用式(1.115)、(1.121),可写作

式中

漏电压甚小时,即u→0时,

于是给出了所谓作为电阻的热噪声。漏电压很大,接近夹断状态时,F(u)值本身趋于无穷大,但gDD值趋于无穷小,因而噪声电流输出不会无限增大。
在低频区有一种噪声成分,其功率谱大致与频率成反比例增加,由实验得知,此种噪声随表面状态的不同而有显著的差异。就MOS场效应晶体管而言,此种噪声产生的原因,或是因沟道内的载流子被界面态所俘获,或是由界面态向沟道内释出载流子而产生的沟道内载流子数目的涨落。
今设沟道内
范围内的载流子数
的涨落。假定
区域的沟道电阻
的涨落,则由此而产生的电压涨落
为

利用关系式

可得到

再利用式(1.119),可推导出

从而若设
的功率谱密度为
,则
的功率谱密度
为

下面试求
。功率谱密度与
的归一化自相关函数
,

之间有下述关系式

这就是人们所熟悉的魏纳-克因青内(Wiener-KhinTchine)定理11),因而首先要求出自相关函数。假定单位时间内载流子产生或复合的几率为
。R(t)为表示无规变化源的函数,载流子数自平均值的涨落
随时间的变化,可以用郎之万(Langevin)微分方程表达如下。

某时刻t发生的现象延续到时刻
的比率,可看作是式(1.138)中不受R(t)影响的成分,所以显然是

将此式代入式(1.137),则有

式(..140)是假定dN的涨落只用一个时间常数
即能表示的现象的解。决定
的物理机制很复杂12),最简单的模型是电子的波函数渗透到方波势阱外侧,如图1.17所示,在一x方向,波函数可表示为
,式中
,
为电子有效质量,V为势阱深度,E为电子能量。电子通过隧道现象转移到距硅-二氧化硅界面为x处的二氧化硅膜中的陷阱能级上,设其俘获几率为
,则这一陷阱能级的俘获时间可表示为

假定陷阱能级在二氧化硅膜中的空间分布密度为
,这些陷阱能级同时存在时的噪声谱密度
为

为均匀分布
时,

给出了1/f的频谱。也就一是说,所谓1/f噪声的产生机制,与这样的表面有关的产生一复合起着决定性的作用。

联系方式:邹先生
联系电话:0755-83888366-8022
手机:18123972950
QQ:2880195519
联系地址:深圳市福田区车公庙天安数码城天吉大厦CD座5C1
请搜微信公众号:“KIA半导体”或扫一扫下图“关注”官方微信公众号
请“关注”官方微信公众号:提供 MOS管 技术帮助

