信息来源: 时间:2021-3-30
硅-二氧化硅界面上存在的界面俘态对MOS场效应晶体管静态特性的影响,当界面态有电荷时,该电荷就作为固定电荷包括在Qss之中。1.2节以后就是这样做的。但界面态的电荷与电子被界面态俘获的多寡有关,电荷的数量是在变化的。因而界面态的存在不能用固定界面电荷的存在来替换,同时还要考虑到硅表面势是随栅电压和漏电压而变化的,随之界面态亦发生充放电。
此问题首先用简单的模型加以考虑。设N1为界面俘获中心的面密度,ni为俘获沟道中载流子的俘获中心的密度,nm为沟道中载流子的密度。如设τm为载流子的寿命,
为载流子被俘获中心俘获的平均时间,当载流子寿命仅由此俘获中心的俘获所决定时,考虑到载流子密度守恒,则下式可成立:

由于栅电压VGS的增加而引起的沟道内载流子密度的增加和被俘获的载流子密度的增加,分别设为d
,则

这里,亦忽略了衬底杂质离子产生的空间电荷。
设沟道宽度为W,载流子的面密度为nm,则漏-源间电流IDS可表示为

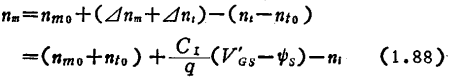
因为载流子的面密度等于栅电压为零时的值nmo加上感生的载流子密度
,即

此外,设栅电压为零时俘获的载流子面密度为
,因为有

所以

而按照通常夹断电压Vp的定义,有

若用下式定义

则式(1.89)可写作

将式(1.91)代入式(1.83),利用定态时
的条件。可确定
值。但对式(1.83)应注意,
一般为
的函数。从而如设S为俘获中心的俘获截面,由于
为空俘获中心的密度,假定载流子平均速度为
,则有

在栅电压为零的定态条件下,因有
,所以

由于下述关系式成立

式(1.83)可写作

将式(1.92)代入式(1.95),求得
为

式中

由此可求得漏电流为

式中

当VDS超过下式定义的VDSs时,将处于所谓夹断状态。

VDS恰好等于VDSS时的漏电流值为

式(1.104)对VGs微分,可算出跨导gm。

俘获中心密度小的时候,载流子寿命增加,因而
增大。与含
的项相比,含
的项若可以忽略,则有

夹断电压Vp为

根据式(1.89),Vp一般可写作

现在因为
,式(1.107)可与式(1.108)等价。
俘获中心密度大的时候,载流子寿命减小,所以
减小,此时漏电流为

夹断电压Vp为

由于
为栅电压为零时,对应于空俘获能级的电压,当这种空俘获能级填满后,源-漏间才有电流流过。
夹断电压值本身将随
值而变化9),如
很大或很小时,可分别采用适当的夹断电压值,除阈值附近外,静态特性可用与最简单情形的式1.16)同样的形式来表示。
在以上的推导中,设界面的俘获能级皆具有同样的俘获截面,而且不考虑俘获能级的态密度分布。但我们知道,经实验测得的界面态密度具有相当复杂的分布。将这种界面态密度分布考虑在内的计算,必须用数值计算。现在将界面态密度
取下述三种分布时的静态特性数值计算结果之一例示于图1.1510)。

阈值附近的特性充分反映了界面态密度的分布,随着与阈值的远离,应解释为夹断电压有差异而使特性发生平移。
联系方式:邹先生
联系电话:0755-83888366-8022
手机:18123972950
QQ:2880195519
联系地址:深圳市福田区车公庙天安数码城天吉大厦CD座5C1·
请搜微信公众号:“KIA半导体”或扫一扫下图“关注”官方微信公众号
请“关注”官方微信公众号:提供 MOS管 技术帮助

