信息来源: 时间:2021-3-26
上节已经说明,夹断以后区域的理论公式的极限为:恰好夹断点处的漏电导为零。如果在漏电压进一步增加到达夹断以后的区域时,仍机械地延续使用上述理论公式,则将得到漏电导为负的结果,但实际上,虽持续电流的饱和现象,漏电导并不为负值。将夹断以前区域的理论公式推广应用于夹断以后的区域,就会得到错误的结果。其理由是在夹断以后的漏侧,如以N沟道的情形为例,若只考虑电子,感生电子密度就成为负值。
感生载流子密度为负值,从物理学的角度看是不可能出现的,而式(1.10)是静电学的关系式,当然它本身是成立的。MOS管夹断状态。在夹断点的漏侧(即漏区),感生电荷符号必须反转,这是由式(1.10)所决定的,所以在硅和二氧化硅膜的界面会出现正电荷。考虑到衬底为P型,这种正电荷不外乎是空穴,因此,沟道中的电子也应从硅和二氧化硅膜的界面被推入硅体内,出现图1.8所示的电子流动情形。电子取此种分布4)也可从电流方程和(白松方程联立求数值解而得)。
从而要分析夹断以后的MOS场效应晶体管的伏安特性,应采用二维模型。但在恰好夹断的那一点,漏电导变为零,式(1.19)可用式(1.47)表示,将此式外推到夹断以后的区域,可在某种程度上说明实测结果,采用一维模型,也可以进行某种程度的分析。
今考虑图1.8所示的载流子分布。在漏区,载流子被注入到漏和衬底形成的PN结的空间电荷层中,并沿电场方向漂移,所以夹断以后的漏电流的饱和特性与结型晶体管接触电流的饱和现象一样,漏电压不是主要决定漏电流大小的因素;而在夹断点的源侧即源区,漏电流的大小就由漏电压来决定了。MOS管夹断状态。就结型晶体管而言,集电极电压使空间电荷层的厚度发生变化,有效基区宽度受到调制,产生所谓厄尔利(Early)效应(基区调变效应),即结型晶体管的集电极电导是由厄尔利效应决定的,而对MOS场效应晶体管来说,是由漏电压使漏结的空间电荷层厚度发生变化,因而缩短了有效沟道长度,增加了漏电流,产生了正的漏电导值。
若按照这一模型对式(1.30)进行积分,假如刚好夹断的一点为x=ls,沿x方向由0积分到ls,由式(1.50)得到的夹断点的沟道电势VP'为


所以将式(1.30)由0积分到VP'即可得:

对于ls,作为一阶近似考虑漏电流小的情形,对漏结运用耗尽层近似,则漏结的空间电荷层厚度为L-ls,故可写作

如采用这一结果,则

从而求得的漏电导为

但是,即使能运用耗尽层近似,决定漏空间电荷层厚度的电场也并不是只由电场E1来决定的(电场E1由漏电势和沟道漏端电势之差来决定)。如图1.9所示,也同漏-栅之间的电场E2和栅与沟道漏端的电场E3有关。电场强度E2、E3可分别近似表示为

式中
V'Gs=V'Gs-фMS+V's,为等效栅电压
d为二氧化硅膜的厚度
ξl、ξs分别为二氧化硅膜和硅衬底的介电常数
a为边缘场系数
以及

β为边缘场系数
如图1.9所示,电场E2、E3的分布基于各自的原因呈现复杂的情形,边缘场系数a、β表示由漏到沟道并不是一维的。二氧化硅膜的厚度以及栅、漏区域的重叠部分的宽窄等参数,若不随器件作极端的变化,a、β暂且可认为是常数。若其数值如前面选取的那样,漏电导的实测值能得到很好的说明5)。

如式(1.63)中所考虑的由衬底内杂质离子产生的电场强度E1,当漏结取突变结近似时,假定为

则漏结空间电荷层内的总电场强度ET为

漏结空间电荷层的厚度ld,若可用下式

求得,则

式中ldB为衬底杂质离子浓度所决定的空间电荷层厚度,ldI为栅电压所决定的空间电荷层厚度。
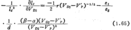
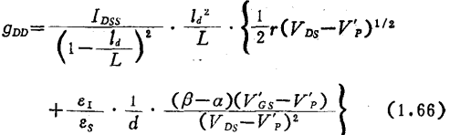
当计算由上述漏结空间电荷层扩展效应决定的输出电导时,因有

如将VDS=V'P,即恰好夹断时的漏电流记作lDSS,采用关系式

则

由式(1.61)得

结果输出电导为

联系方式:邹先生
联系电话:0755-83888366-8022
手机:18123972950
QQ:2880195519
联系地址:深圳市福田区车公庙天安数码城天吉大厦CD座5C1
请搜微信公众号:“KIA半导体”或扫一扫下图“关注”官方微信公众号
请“关注”官方微信公众号:提供 MOS管 技术帮助
