信息来源: 时间:2021-3-25
上一节忽略了衬底中杂质离子形成的空间电荷2),在这一节我们把它考虑进去。为了求得MOS场效应晶体管的伏安特性,可试求在栅源之间和漏源之间加电压时各点的电压分布以及与之相对应的电荷分布。
由源到漏的方向取作χ轴,如将沟道内某点二氧化硅膜两端的外加电压记作Vo(χ),由图1.7可知

式中
ψs为半导体体内取作基准时的硅表面势源端的ψs值是栅电压的函数,写作ψso(VGs),并以下式作沟道电势V(χ)的定义:

则式(1.21)可写作

如将沟道内电子的面电荷密度记作QB,则硅中空穴和受主构成的空间电荷密度QB为


式中
p为空穴密度,n为电子密度,
为受主密度。
如将金属电极上的正电荷密度记作QM,则

按照高斯定理,显然有下述关系式

如沟道宽度记作w,则漏-源电流IDS为

如代入下两式

则

另一方面,由式(1.26)知

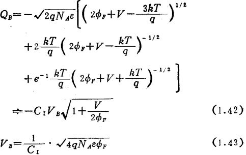
因QB也与电压有关,下面我们来求QB3)。
由式(1.24)得

式中

ψp为P型半导体体内的静电势
ψF是以禁带中央起算的费米势,即静电势与费米势之差假定空穴的准费米能级与热平衡费米能级的值一致。
F(U,ξ,UF)是按一维泊松方程所定义的量,如下式所示。

式中
,ψn为电子的准费米能级。
显然,在源端,电子的准费米能级等于空穴的准费米能级,并等于半导体体内的费米能级,于是可理解成

(式中ψnψp分别为由禁带中央起算的导电电子和空穴的准费米势)。此时,式(1.33)可直接积分,得到

下面按Z轴分成三个区域,分别试求F(U,ξ,Up)的近似值。但是,这三个区域不一定对应于反型层、耗尽层和P型区。
(1)区域

则有

(2)区域

即

则有

(3)区域

即

则有

QB系将式(1.37)、(1.39)、(1.41)代入式(1.32)的结果之和

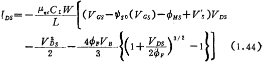
将式(1.42)代入式(1.31),以其结果代入式(1.30)求解,得

式(1.44)是MOS场效应晶体管直流伏安特性的表达式。用此式与前节一样,可推导出几个重要参量。
首先计算漏电导,与前节一样,将流入漏的电流取作漏电流的正向,得

按前节的定义,将VDs=0时gDD=0的栅电压称作夹断电压VF,则

利用此式来表示漏电导,则

漏电流可写作

如运用式(1.48),当时,漏电导变为零。关于以后的状态,与上节一样,即便漏电压增加。仍然可看作是持续漏电流为零的状态。这也是一种近似法。

联系方式:邹先生
联系电话:0755-83888366-8022
手机:18123972950
QQ:2880195519
联系地址:深圳市福田区车公庙天安数码城天吉大厦CD座5C1
请搜微信公众号:“KIA半导体”或扫一扫下图“关注”官方微信公众号
请“关注”官方微信公众号:提供 MOS管 技术帮助

