信息来源: 时间:2021-3-11
设计带通滤波器也利用从低通到带阻的几何变换。其变换方法是在低通传递函数中的变量S用SB/(S2+ω2)来代替,经这样变预后,得到带阻中心角频率为ωo、3分贝带宽为B、带阻的
值为fo/B的带阻传递函数。从低通到带阻变换后,其低通的幅频特性和带阻的幅频特性如图5.2-16所示。


带阻的衰减特性可由低通的衰减特性来表示。归一化低通截止角频率Ωs为

从低通变换为带阻后,其阶数增加1倍。
二阶带阻传递函数表示为

式中的
为零点角频率。
若二阶低通传递函数的系数为
(见第一节(5.1-9)式、(5.1-12)式、(5.1-23)式和(5.1-24)式),将二阶低通传递函数中的S用SB/(S2+ω2o)取代后,得到带阻的传递函数,表示式为

式中的
为零点角频率。其
和Q的计算步骤:

若一阶低通的实极点是
,将一阶低通传递函数中的S用SB/(S2+ω2o)来取代,求得带阻的传递函数,其表示式为(5.2-31)式,式中:

【例8】设计一个带阻滤波器,主要指标是:(1)带阻中心频率fo=3600赫兹,(2)带阻滤波器3分贝带宽B=300赫兹,(3)衰减As为40分贝时,止带宽度Bs=60赫兹。
解 i.计算归一化低通止带角频率Ωs:

ii.根据Ωs和As值计算阶数n:
选用RP=0.1分贝的切比雷夫近似。由第一节(5.1-19)式得低通阶数n=3。其切比雪夫系数
值由表5.1-3中提供的值并经换算后得到

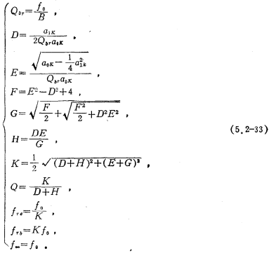
iii.根据
,计算Q、
和
:
利用(5.2-33)式,得
Q=30.15,
=3455 赫兹;
=3752赫兹;
赫兹。
iv.根据σo计算Q、
和fr:

Ⅴ.三级带阻滤波器的框图及其参数如图5.2-17所示。

多运放带阻滤波器的电路形式如图5.2-18所示。

若
、Q和
已经求得,图中的C、R和R′能任意选择,则电路的设计公式为

对于

对于

其中
值是根据直流增益等于1的情况下给定的。若要增大或减小直流增益,可以通过改变
的阻值来实现。
图5.2-18电路主要优点是Q值可高达200,且Q值与fr能独立调节。它适用于
的带阻滤波器,如[例8]的第一级和第二级带阻滤波器可采用图5.2-18电路。
对于
(由实极点产生)的带阻滤波器可由图5.2-19的电路结构来实现,图中的H(S)为带通的传递函数。输入信号分为两路,其中一路经带通放大器后加到运放的倒相输入端,增益为1;另一路直接加到运放的同相输入端,增益也为1。此两路信号,经运放相加后输出,其输出特性为带阻,带通的传递函数为

于是图5.2-19电路的传递函数为


它表示
时带阻递波器的传递函数。
根据图5.2-19的电路结构,可以得到由带通滤波器构成的带阻滤波器,电路形式如图5.2-20所示,图(a)为多路反馈带通滤波器;图(b)为多运放带通滤波器。这些带阻滤波器的中心频率与带通滤波器的中心频率相同,带阻的
与带通的
相同。其元件值的设计公式已在带通滤波器中讨论过了,这里不再重复(设计公式可点击此处文字查看)。图5.2-20电路可作为[例8]中的第三级带阻滤波器。


在带阻滤波器中经常采用双T网络.无源的双T网络其Q值只有1/4。为提高双T带阻滤波器的Q值,可使用正反馈,其电路形式如图5.2-21a所示,图中的β为双T网络,K为放大器。经计算后,它的Q值为

式中K小于1且接近于1,K越大Q值也越大。图5.2-21b给出了带有正反馈双T带阻滤波器的实际电路。该电路的设计公式为

式中fo为带阻的中心频率,止带宽度Bs其相应的衰减值As为


由上式可知,Q越大,在相同Bs条件下,衰减值As越小,
【例11】设计一个双T带阻滤波器,主要参数:(1)带阻中心频率fo=50赫兹;(2)Q=5。
解 选用电容C=0.01微法。由(5.2-40)式

由(5.2-41)式

图中的R取100千欧,则(1-K)R=5千歌,K R=95千欧。若Bs=1赫兹,则As=20分贝。
联系方式:邹先生
联系电话:0755-83888366-8022
手机:18123972950
QQ:2880195519
联系地址:深圳市福田区车公庙天安数码城天吉大厦CD座5C1
请搜微信公众号:“KIA半导体”或扫一扫下图“关注”官方微信公众号
请“关注”官方微信公众号:提供 MOS管 技术帮助

