信息来源: 时间:2021-3-10
设计带通滤波器最常用的方法是利用从低通到带通的几何变换,其方法是:将低通传递函数中的变量S用
来代替,经这样变换后,即得中心角频率为ωo、3分贝带宽为B的带通传递函数。从低通到带通变换后,其低通的幅频特性和带通的幅频特性之间的关系如图5.2-11所示。

图中ωo、ωc1和ωc2分别为带通滤泼器的中心角频率和下降3分贝时的角频率,其带通的煤度B=ωc2-ωc1,中心角频率
。Bs为带通的止带宽度。带通滤波器电路。由图可知,带通宽度B与低通的带宽相同,因而带通的衰减特性可由低通的衰减特性来表示,即归一化低通截止角频率Ωs为

一般来说,低通传递函数为K阶,经变换后的带通传递函数为2K阶,因而带通滤波器的阶数只有偶数阶,无奇数阶,最低阶数为二阶。
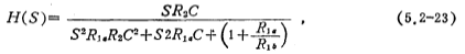
二阶带通传递函数可写为

式中Ar、ωr、Q分别为二阶带通的增益、中心角频率和Q值。
(1)一阶低通到带通的变换
若一阶低通的实极点是
,将一阶低通传递函数中的S用
来代替,得二阶带通传递函数,即(5.2-14)式,式中ωr=ωo,

而

若二阶低通的传递函数其系数为
(见第一节(5.1-9)式、(5.1-12)式、(5.1-23)式和(5.1-24)式),将二阶低通传递函数中的S用
代替,就得到二阶带通滤波器的传递函数

式中
以以及Q分别是二阶带通滤被器的增益、谐振频率和Q值。
和Q的计算步骤如下:

单级带通滤波器在中心频率fo时,其增益为Ao,而单级带通滤波器在谐振频率fr时,其
增益为
的关系为

【例5】设计六阶巴特沃思带通滤波器,主要指标:(1)中心频率fo=1000赫兹,(2)3分贝带宽B=100赫兹,(3)中频增益Ao=30分贝。
解 i.计算

ii.计算
:
由(5.1-12)式和表5.1-1得n=3时,
为

iii.由
由(5.2-18)式得

本带通滤波器由三个二阶带通滤波器构成,其中频增益(在fo时)为30分贝,设每级增益为10分贝,即Ao=3.162。由(5.2-19)式得每一级增益Ar。
vi.各级二阶带通滤波器的参数:
第一级:fr=957.6赫兹,Q=20.02,Ar=6.333。
第二级:fr=1044.3赫兹,Q=20.02,Ar=6.335。
第三级:fr=1000,0赫兹,Q=10.00,Ar=3.162。
RC有源滤波器由于电阻、电容值或运放的增益等发生变化,使滤波器参数Q值、带通的中心频率fo等发生变化,通常采用灵敏度来衡量元件参数的变化对滤波器参数的影响。带通滤波器电路。如果用x表示某个元件(电阻、电容和运放增益),y表示某个滤波器参数,则y对x变化的灵敏度定义为

在带通滤波器中,灵敏度指标直接反映带通中心频率fo和带宽B的稳定程度。灵敏度越低,表示滤波器参数的稳定性越好,所以,它是一个比较重要的参数。
多路反馈带通滤波器如图5.2-12所示.它具有电路结构简单,灵敏度低等特点,图5.2-12(a)电路的传递函数为(见参考文献(31))


如果(5.2-21)式的系数与表示一般带通传递函数(5.2-14)式的系数相等,则可得到图5.2-12a电路的元件值与带通参数的关系:

式中电容C值是任意的。
这个电路的缺点是Ar与Q的平方成正比,因而Q值不能太大,通常Q应在20以下。图
5.2-12b是它的改进形式,相应的传递函数为(见参考文献(31))

式中
与Ar和Q的关系为

式中Ar是在谐振频率fr时所要求的增益,但它不能大于2Q2。带通滤波器电路。图中R2的关系式仍由(5.2-22)式表示。电路的灵敏度由以下各式表示

对于Q2/Ar》1条件下,谐振频率fr电路的Q值可由R10直接控制,既改变谐振频率fr。电路的Q值可由R2来进行调节。
【例6】使用多路反馈带通滤波器图5.2-12b电路来实现[例5]所设计的六阶巴特沃恩带通滤波器。
解 i.按照【例5】的计算,其六阶巴特沃思带通滤波器的结构及其参数如图5.2-13所示。

ii.计算图5.2-12b电路中的元件值:
选择电容C=0.01微法。
第一级电阻的元件值

第二级电阻的元件值


第三级电阻的元件值

iii.六阶巴特沃思带通滤波器电路:六阶巴特沃思带通滤波器的实际电路如图5.2-14所示。
图中的
串一微调电阻,来调节各节带通滤波器的谐振频率fr,使带通滤波器的中心频率fo在1000赫兹。带通滤波器电路。各级的其他电阻值如上面的计算值。电容C均取0.01微法。
多运放带通滤波器如图5.2-15所示。该电路具有十分低的灵敏度,且电路的Q值与谐振频率fr可分开独立地调节,互不影响。它特别适合于做成标准形式的高精度有源滤波器。若采用集成四运放电路,体积可做得很小。图5.2-15电路的传递函数为


令上式和二阶带通传递函数(5.2-14)式相等,则电路的谐振频率fr和带宽B为

由(5.2-27)式可知,谐振频率fr和3分贝带宽B能够独立地加以调节。
设
,则由(5.2-26)式和(5.2-27)式,可得到电路的设计公式

式中Ar是在谐振频率fr时所需要的增益。带通滤波器电路。图5.2-15电路中的电容C值和电阻R’值能任意选择。由(5.2-28)式可知,R2的作用是调节电路的谐振频率fr,R1的作用是调节电路的Q值,
的作用是调节增益Ar。该电路灵敏度为

式中
是放大器A1、A2的开环增益。Q值受到运放开环增益的限制,岩选择高增益运放,Q值可达200。
【例7】设计一个有源带通滤波器,主要参数为:(l)中心频率fo=2500赫兹,(2)3分贝带宽B=30赫兹,(3)衰减A≥15分贝时,止带带宽Bs=90赫兹,(4)在2500赫兹,增益为12分贝。
解 i.计算归一化低通止带角频率Ωs:

ii.确定低通阶数:
选用n=2、
=0.1分贝的切比雪夫低通滤波器满足其止带衰减要求。
iii.计算
:
由表5.1-3,得

iv.计算
由公式(5.2-18)式得

v.选用电路:
本电路Q值很高,选用图5.2-15电路结构,因带通阶数n等于四阶,故需用二级多运放带通滤波器。
vi.增益分配:
总增益为12分贝,每级增益为6分贝,即Ao=2。利用(5.2-19)式,得第一级和第二级增益Ar=3.069。
vii.带通滤波器第一级和第二级的参数:
第一级:fr=2489.3赫兹,Q=136,Ar=3.069。
第二级:fr=2510.7赫然,Q=136,Ar=3.069。
viii.计算带通滤波器第一级和第二级的元件值:
选用C=0.1微法;R'=10千欧。
第一级:
第二级:R1=86.2千欧,R2=R2=64千欧,R4=28.1千欧。
联系方式:邹先生
联系电话:0755-83888366-8022
手机:18123972950
QQ:2880195519
联系地址:深圳市福田区车公庙天安数码城天吉大厦CD座5C1
请搜微信公众号:“KIA半导体”或扫一扫下图“关注”官方微信公众号
请“关注”官方微信公众号:提供 MOS管 技术帮助

