信息来源: 时间:2021-3-8
滤波器的近似方法主要有三种:1、巴特沃思(Butterworth)近似(最大平坦近似);2、切比雪夫(Chebyshev)近似(等波动近似);3、椭圆函数近似。
上面指出,在实现各种滤波器时,可以只考虑低通滤波器,其他三种(高通、带通和带阻)滤波器都可根据低通滤波器的网络函数,通过相应的参数变换来得到,具体的变换方法将在后面进行讨论。在考虑低通滤波器的网络函数时,不同的低通滤波器其通带截止频率ωc可能是各不相同的,但为了讨论方便起见,把频率变量ω按通常截止频率ωc的尺度进行变换,取Ω=ω/ωc的归一化频率进行近似。对于归一化频率Ω来说,所有低通滤波器的通带截止频率将都变为1。
下面分别讨论几种主要低通滤波器的近似方法。
巴特沃思低通滤波器的幅频关系式为

式中Ω为归一化频率,即Ω=ω/ωc;H(0)为Ω=0时的幅值。
从(5.1-2)式可以看到幅频函数|H(jΩ)|将随归一化须率|的增大而单调地减少。当Ω=0时,| H(j0)|=H(0)为最大值,当Ω=1时,| H(jΩ)|=H(0)/
,即下降3分贝,以后随Ω的增大而逐渐趋向于零。对于巴特沃思近似,它的通带衰减为3分贝,且与阶数n无关。随着阶数n的增大,其幅频响应越接近于理想滤波器的幅频特性。图5.1-2给出了n=2.5.10时的巴特沃思近似的幅频特性,图中H(0)=1。
从(5.1-2)式可知,当Ω>1时,其幅值将以-20n分贝/10倍频程速率下降。根据对某一阻带频率Ωs时需As分贝的衰减量,则巴特沃思的阶数n为

例如Qs=2时,要求衰减量As大于40分贝,则根据上式得

取n=7,即巴特沃思低通滤波器的阶数n=7时才能满足:Ωs=2时阻带衰减量大于40分贝的要求。显然,对于某一归一化角频率Ω(大于1),衰减As越大,所需阶数n越大。反之,对于给定的阻带衰减量As,Qs越接近于1,则阶数n越大。
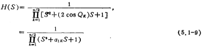
为求得巴特沃思低通滤波器的网络函数H(S),由(5.1-2)式可以写为

将上式的jΩ变为复数变量S,则有Ω2=-S2,用S变量代入上式,则可得(设H(0)=1)

(5.1-5)式具有2n个极点,其极点可由下式得到:

由此式可知,2n个极点分布在S平面的单位圆上,且左、右平面是对称的。为了满足可实现条件,可认为左半平面极点为H(S)的极点。根据(5.1-6)式,左平面的极点可写为

因而巴特沃思低通滤波器的网络函数为(见参考文献(32))

为方便起见,上式可写为:
n为偶数时,

而

n为奇数时,

而


由(5.1-10)、(5.1-11)式和(5.1-13)、(5.1-14)式可求得
。表5.1-1列出n从2到10的
值。根据
值,可直接写出n从2到10的巴特沃思低通滤波器的网络函数H(S)。
例如,n=5,a11=0.618,a12=1.618,由(5.1-12)式得


对于n≤10的巴特沃思低通滤波器的幅频特性如图5.1-3所示。图中的角频率座标为归一化角频率Ω,H(0)等于0分贝。

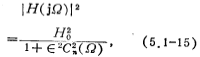
巴特沃思近似在Ω=0处具有较好的幅频特性,但在Ω较大时(即当Q=1时)有3分贝的误差,同时在阻带(Ω>1)中,幅度的衰减速率不是很快(对于一定的n值),为此采用切比雪夫近似,由于这种近似在通带内具有等波动特性,故称这种近似为等波动近似。切比雪夫低通滤波器的幅频响应为

式中归一化频率Ω=ω/ωc,而ωc为通带等波动宽度;Ho是Ω=0时的幅值;∈是与通带波动大小有关的量,其值小于1;
(Ω)是切比雪夫多项式。
切比雪夫多项式定义如下:

由(5.1-16)式得
(Ω)的表示式,如表5.1-2所示。

切比雪夫多项式具有以下特点:
(1)在Q≤1的范围内,函数值
(Ω)进行波动,但它的绝对幅度不超出1,即▏
(Ω)▏≤1。
(2)当Ω>1时,则▏
(Ω)▏将随Ω的增加而迅速增加。
从(5.1-15)式可以看出,在Ω≤1时,因为∈<1,
,因此
只是在Ho以下进行波动,∈越小则波动也越小,但当Ω>1时,并且
,那么
将《1,n越大,则减小得越快。图5.1-4示出了对于某一∈值n分别为2、5和10时,切比雪夫近似的幅频特性。
由图5.1-4可知,通带内具有等波动性质,通带最大的衰减值R,与∈的关系为(见参考文献(32))

通带内波动的次数将由近似阶数n来确定,n越大则波动次数越多,但在Ω=1处,则不管n为多大,衰减值相同,即等于
。当Ω>1时,幅度下降速率要比巴特沃想近似来得快。若阶数n相同,则
越大,阻带的衰减速率越快。
关于近似函数的阶数n,也和巴特沃思近似一样,将由滤波器到达阻带衰减As(分贝)时的阻带频率Ωs来确定,其关系式可由(5.1-15)式来确定。设Ho=1,则阻带衰减值As=1/▏H(jΩs)▕,即

当Ω较大时,
,并根据
的递推关系式(见表5.1-2),可以推得
多项式中Ω的最高次项将为
,若在多项式中仅保留其最高次项,于是(5.1-18)式可近似为

由上式得

【例1】设计一个低通滤波器,通带波动
分贝,而当Ωs=2时,阻带衰减值As≥
40分贝,试求切比雪夫近似阶数n。
由(6.1-17a)式得

由(5.1-19)式得

根据前面计算可知,阻带衰减As≥40分贝条件下,若采用巴特沃思近似,阶数n为7。显然,切比雪夫近似在阻带衰减要比巴特沃思近似来得快。因此,人们往往采用切比雷夫近似。
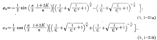
为求得切比雪夫近似的网络函数H(S),将S=jΩ代入式(5.1-15)得

由上式可求得H(S)的极点,设极点
经一定的数学处理后,
分别由下式表示(见参考文献(32)):

式中

计算出
后,归一化的切比雪夫网络函数H(S)表示式为

式中

H0是根据H(0)=1时求得的值。将(5.1-22)式的分母展开,H(S)可写为:
n为偶数时,

n为奇数时,

设
为
的共顿极点,即
则(5.1-23)、(5.1-24)式中的
和
与极点的关系为

(5.1-24)式中的
为网络函数的实极点。
巴特沃思网络函数H(S)的极点分布在以1为半径的一个圆上,而切比雪夫网络函数H(S)的极点分布在相应的椭圆上,它们分布的角度则都是相同的。
【例2】设计低通滤波器,要求通带波动
分贝,阻带频率
时阻带衰减As≥40分贝。
由(5.1-17a)式得

由(5.1-19)式得阶数n=4。
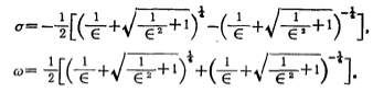
为简单起见,将(5.1-21a、b)式改写为

式中

将∈值代入
关系式得

将
值代入(5.1-21a,b)式得

因而切比雪夫网络函数的极点为

由(5.1-23)式得归一化切比雪夫网络函数H(S)为

表5.1-3~5分别给出通带波动
为0.1分贝,0.25分贝和0.5分贝时的切比雪夫网络函数
,表中实极点为
)。




前面讨论的巴特沃思、切比雪夫网络函数H(S)是全极点网络函数,没有零点。这里讨论的椭圆函数近似是既有极点又有零点。它在通带部分与切比雪夫近似相似,具有等波动特性,而频率大于通带截止频率(Ω=1)时,其幅度衰减速率比切比雪夫近似更快,但止带衰减不是单调的,也具有等波动特性,为了便于比较,图5.1-5给出了三种近似的幅频特性。这三种曲线,阶数(极点)n都等于5,切比雪夫通带波动
。分贝。椭圆函数通带波动
分贝,而且椭圆函数近似具有两个零点。
归一化椭圆函数的幅须曲线如图5.1-6所示。图中各参数定义如下;
=通带波动(与切比雪夫近似相同),单位为分贝。
=止带最小衰减,单位为分贝。


Ω1为到达止带衰减
时的最低止带频率,通常称椭圆近似的止带频率。通带等波动宽度为通带截止频率,即Ω1,Ω从1→Ω1区,称为过渡带区。
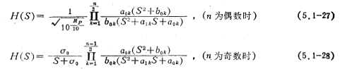
椭圆函数近似的网络函数H(S)计算十分复杂,这里不进行讨论。现只给出表示式和参数表,供设计使用。
椭圆函数近似的归一化网络函数/H(S)为

式中的
和
由
和止带频率
所决定。
表5.1-6~表5.1-8分别给出n=3、5、7时的归一化梳圆函数H(S)。表中参数与(5.1-27)、(5.1-28)式中的
和
有如下的关系:
。






联系方式:邹先生
联系电话:0755-83888366-8022
手机:18123972950
QQ:2880195519
联系地址:深圳市福田区车公庙天安数码城天吉大厦CD座5C1
请搜微信公众号:“KIA半导体”或扫一扫下图“关注”官方微信公众号
请“关注”官方微信公众号:提供 MOS管 技术帮助

