信息来源: 时间:2021-1-15
讨论的CMOS运放的频率特性,是指工作在小信号情况下的额率响应,通常用小信号(正弦信号)来描述,但实际上运放处理的信号很少是正弦信号,通常是阶跃信号,而且运放的响应不能单纯用频率来描述,而用运放的转换速率SR和建立时间
来表示,这两个参数是运放瞬态响应的主要参数。
通常运放的转换速率SR和建立时间
是在运放的闭环增益为1并且接成跟随器形式的条件下测得的(见图3.3-1a)。CMOS运放的瞬态响应。所谓运放的转换速率SR是指闭环增益为1、阶跃大信号(小于运放的最大输入共模电压)输入时输出信号Vo(t)的最大变化速率,其单位为伏/微秒。
根据定义,转换速率SR为

建立时间
是指闭环增益为1,阶跃大信号输入时刻到输出幅度达到确定的精度范围所需要的时间,精度越高,建立时间越长。运放的建立时间如图3.3-1b所示。图中V为输入信号的阶跃幅值;
为所需要的精度,通常
取0.1%;Ts为转换时间,在这段时间输出幅度变化的幅值即为转换速率SR;TSL为线性区建立时间;
为建立时间,其值


由图可知,运放的建立时间由两部分组成,一部分是转换时间Ts,另一部分是运放进入到线性区后,其输出幅度达到确定的精度范围(
)所需要的时间TSL。现作些简要说明,当大的价跃信号输入时,运放的输出电压来不及变化,负反馈信号为零,所以输入信号全部加在运放的输入端,因此运放输入级(差分放大器)处于限幅状态(即进入非线性状态)。CMOS运放的瞬态响应。这时电路输出信号的变化与输入信号无关,决定于运放电路中的补偿电容Cc的充电电流,即决定于运放的转换速率SR,随着输出幅度的增大,使输入到运放输入级的幅度逐渐减小,当减小到运放输入级限幅电平时,运放进入线性状态,下面定量计算CMOS运放的建立时间
与运放频响之间的关系。
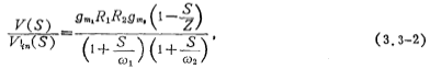
由第一节讨论可知,CMOS运放的频率特性为

式中ω1为主极点频率

ω2为高频极点频率

如果
,则

而Cc为补偿电容,CL为运放输出端的负载电容

为提高稳定性,将零点消除,(3.3-2)式可写为

式中Avo为运放的直流增益,Avo=gm1gm2R1R2。
根据第二章对差分放大器限幅特性的讨论,运放输入级的限幅电平近似为

式中Io为输入级工作电流,gm1为输入级放大器的跨导。
由上所述,闭环增益为1的条件,分析运放瞬态响应的模型如图3.3-2所示。

联系方式:邹先生
联系电话:0755-83888366-8022
手机:18123972950
QQ:2880195519
联系地址:深圳市福田区车公庙天安数码城天吉大厦CD座5C1
请搜微信公众号:“KIA半导体”或扫一扫下图“关注”官方微信公众号
请“关注”官方微信公众号:提供 MOS管 技术帮助

