信息来源: 时间:2021-1-14
CMOS运放的电路结构确定后,最重要的是确定运放各级的工作电流与工作电压。为使运放工作正常,首先要保证运放各级放大器中的场效应管在静态和规定的动态条件下,处于饱和区;其次,在静态条件下,输入端等于零电压时,输出端电压为零,即要有小的失调电压;第三,根据增益、输出动态幅度等确定各级放大器及偏置电路的工作电流。我们知道,MOS管的工作电流、电压决定于工艺参数和沟道的宽长比。如果工艺参数确定之后,工作电压(VG1)也就确定了,那么MOS管的工作电流ID只与沟道的宽长比有关。因此在MOS运放中,各级放大器的工作点与MOS管的沟道宽长比密切相关。下面我们以常用的CMOS运放电路为例来进行分析,为使MOS运放具有小的失调电压,如何来确定各级放大器中的MOS管的沟道宽长比。
利用图3.2-1所示的电路进行输入失调电压分析。

在这里,影响电路输入失调电压的因素包括M1和M2本身的输入失调电压和M3、M4管失配的影响(记为
),以及后级的影响(记为
),故电路总的输入失调电压
为

根据第二章第五节的讨论可知,
为

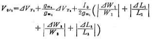
必须指出,上式的失调电压
的表示式是在考虑输入对管M1、M2和电流源管M3、M4对称条件下得出的,它是由工艺参数(如扩散不均匀,氧化层厚度不均匀)、制版、光刻等原因引入的随机失调电压。要减小这种随机失调电压,应改善工艺条件、提高制版、光刻精度,此外,在设计版图时,应使输入对管M1、M2和电流源对管M3、M4尽量靠近,以减小M1、M2管的阈值电压差值
和M3、M4管的阈值电压差值
,并适当加大管子尺寸,以减小M1、M2和M3、M4的沟道宽度、长度的相对误差。
第二项
失调主要由第二级引起的。由于MOS跨导较小,输入级的差分增益不是很大,这样第二级引起的失调折合到输入端的失调电压
不能忽略。
若输入对管M1、M2和电流源对管M3、M4是对称的,则输入电压为零时,M3管的漏源电压与M4管的漏源电压相等,由图3.2-1可得

由于M3、M4和M5管的工艺参数、阈值电压相同,则根据MOS管的电流表示式以及(3.2-2)式,可得

显然要使失调电压为零,应使M5管的电流Io与M7管的电流IT相同,而M7管与输入级差分放大器的电流源管M5是同一偏置电压,故Io(M5管的工作电流)与IT有如下关系:

因
,则由(3.2-4)、(3.2-5)式可得

因
,上式也可写成

因此,若使(M3+M4)与M6的沟道宽长比的比例与M5、M7的沟道宽长比的比例相等,后级对输入失调电压就没有影响。倘若这些比例失配或有关管子的阈值电压失配,就会引起输入失调电压的增加。但是,若输入级的差分放大器的增益较大时,后级失配所引起的失调可以减小。放大器的MOS管的沟道宽长比确定以后,再根据电压增益、输出动态幅度等要求,确定工作电流。工作电流由偏置电路来提供。下面讨论如何确定CMOS运放的工作点,并介绍MOS管的参数选择(主要是沟道的宽长比)。
图3.2-2是典型的二级CMOS运放。RB和M6构成偏置电路,以提供输入级差分放大器和输出级电路的工作电流。差分放大器由差分对管M1,M2、有源负载M3、M4和作为电流源管的M7所组成。M5和M6构成第二级共源放大器。电容
为频率补偿电容。
运放结构确定后,首先确定直流工作点。
现设VDD=5伏,Vss=-5伏,管子的阈值值电压▕VT▏=1伏。从输出的动态幅度考虑,设定图中节点②的电位为-2伏,即
伏。从电路的功耗、放大器的增益、输出的驱动能力等方面考虑,选取偏流
微安,差分放大器的工作电流
微安,输出级电路
微安。根据工作电流,偏流电阻RB为

设NMOS管的
参数为

则M6的宽长比为

类似于(3.2-6)式,
的宽长比由下式求得

在静态条件下(输入电压为零),为使失调电压为零,应使
,根据图3.2-2和关系式(3.2-6)可得
管的宽长比为

图中的差分放大器增益
可写成

式中的λ为沟道长度调制参数。
设
伏-1,而
微安,
微安/伏2,则(3.2-9)式表示为

第二级增益为

式中的
微安/伏2,
微安,λ=0.01伏-1。因此上式可写为

为使第二级的跨导gm,大于输入级差分放大器跨导
,选择

由(3.2-8)式得M3、M4管的宽长比为

现将图3.2-2电路中各管的宽长比,列于表3.2-1

此时,图3.2-1所示的运放的电压增益为

运放的输出阻抗为

运放第一级的跨导为

运放第二级的跨导为

如果设计运放的单位增益带宽GB为1兆赫,那么根据第一节的(3.1-3)式,补偿电容
值为

运放的零点为

运放的第一极点:

运放的第二极点与负载电容有关CL,其值为

根据第一节的讨论和(3.1-7)式,负载电容CL应小于23皮法,否则运放在深度负反馈工作时,有可能出现高频振荡。CMOS运放。为提高运放的稳定性并消除零点,其方法是用频率补偿电容
与电阻
串联后进行补偿,而
。其电路形式如图3.2-3所示。
相关资讯
联系方式:邹先生
联系电话:0755-83888366-8022
手机:18123972950
QQ:2880195519
联系地址:深圳市福田区车公庙天安数码城天吉大厦CD座5C1
请搜微信公众号:“KIA半导体”或扫一扫下图“关注”官方微信公众号
请“关注”官方微信公众号:提供 MOS管 技术帮助
