信息来源: 时间:2021-1-13
上述讨论表明,在MOS运放中进行相位补偿时,必须消除电路中零点的不良影响。为了更好地说明MOS运放的频率补偿,再对(3.1-2)式进行讨论。

如果MOS运放的高频极点P2频率和零点Z的频率大于单位增益带宽GB。这时运放的电压增益在高于低频极点P1的频率时,以-20分贝/10倍频程下降(见图3.1-1),单位增益带宽应为

等效电路中的C1是内部的分布电容,它与补偿电容
和负载电容CL相比,是很小的,故P2可近似为

由(3.1-3)、(3.1-4)式及零点表示式(3.1-2),可得

由(3.1-5)、(3.1-6)式可知,右半平面的零点Z、高频极点P2与单位增益带宽GB之比决定于gm1/gm2的比值,要使MOS运放实现单极点响应,即0分贝以上只出现一个主极点P1,而高额极点P2》GB,零点Z》GB,那么gm1/gm2的比值应有如下关系式:

显然,gm1/gm2的比值越大,MOS运放的稳定性越好。而且补偿电客
的取值与负载电容CL的大小有关,C1增大,
也相应加大。
前面讨论可知,MOS运放的第二级放大器的跨导gm,要远大于第一级放大器的跨导gm,是相当困难的,除了MOS运放设计上考虑外,还有一点是MOS管的跨导只与工作电流的平方根成正比的缘故。
提高MOS运放的稳定性,除了设计gm1/gm2的比值大外,主要可采用消去零点(Z)提高电路的稳定性。消去零点有如下两种方法:
与放大器输出端相隔离此方案中是将第二级输出端通过一个跟随器再与补偿电容相接,其电路结构如图3.1-4所示。高频时,由于
源极跟随器的隔离作用,电容
就不能将信号直接馈送到放大器输出端。从而减小了运算放大器输出信号的相位变化。该图的补偿示意图、等效电路分别如图3.1-5a和图3.1-5b所示。


由图3.1-5b得节点方程为

解上述方程,其传递函数为

由此可知,补偿电容
经隔离放大器后,零点消除了,因
,上式的低频极点P1和高频极点P2简化为

(3.1-11)式和(3.1-2)式相比,极点P1、P2没有什么变化,而零点却消除了,电路的稳定性得到了改善。
与电阻串联后进行补偿另一种消除右半平面零点的有效方法是电容
与电阻
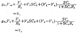
串联后进行补偿,其等效电路如图3.1-6所示。

由图得如下节点方程

解上述方程,求得传递函数为

式中

如果
,二个极点分离得较远,则由(3.1-12)式求得的极点和零点为

由(3.1-12)、(3.1-13)式可知,当
时,零点消去,提高了电路的稳定性。如果R1稍大于1/gm,则零点从S平面的右半平面移到左半平面,也可提高电路的稳定性。
联系方式:邹先生
联系电话:0755-83888366-8022
手机:18123972950
QQ:2880195519
联系地址:深圳市福田区车公庙天安数码城天吉大厦CD座5C1
请搜微信公众号:“KIA半导体”或扫一扫下图“关注”官方微信公众号
请“关注”官方微信公众号:提供 MOS管 技术帮助
