信息来源: 时间:2020-12-31
为基准的偏置电路通常定义热电压=
,式中
为玻尔兹曼常数,T为绝对温度,q为电子电荷。以热电压为基准的偏置电路其典型电路形式如图2.7-4所示。

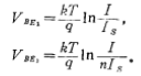
图中晶体管Q2的发射区面积是晶体管Q1发射区面积的n倍,M1~M4管构成反馈回路,使流过Q1和Q2的电流相等。由图可得

而且

将VBE关系式代入(2.7-6)式得

和电阻R均为正温度系数,只要选择适当的系数n,可使偏置电流I具有零温度系数,因而图2.7-4电路的偏置电流与温度无关,可作为基准电流源。
由于沟道调制效应,流过M1和M4管的电流略有不同,且输出电流
的大小也与输出端电压大小有关。为克服这一缺点,可用串级电流源,其电路形式如图2.7-5所示。
用图2.7-5的电路结构,可获得基准电压源和基准电流源,其电路形式如图2.7-6所示。由图和(2.7-7)式,Vo电压可写为

选择适当的n和电阻系数X,使上式的第一项和第二项的温度系数相互抵消,那么Vo可作为基准电压。由图可知,利用负反馈电路,可以将此基准电压Vo转换为稳定的电流
。


联系方式:邹先生
联系电话:0755-83888366-8022
手机:18123972950
QQ:2880195519
联系地址:深圳市福田区车公庙天安数码城天吉大厦CD座5C座
请搜微信公众号:“KIA半导体”或扫一扫下图“关注”官方微信公众号
请“关注”官方微信公众号:提供 MOS管 技术帮助
