信息来源: 时间:2020-12-24
图2.4-1c、dCMOS单级放大器与图2.4-1a、bNMOS单级放大器相比,有较高的电压增益和较低的功耗,增益一般可达500~1000,基于它的优点,近几年来CMOS模拟集成电路有较大的发展。
在图2.4-1c所示的CMOS单级放大器中,有源负载M2管通常与偏置电路构成电流源电路,M2管作为有源负载。其电路形式如图2.4-5所示,为简单起见,假设M1与M2的沟道宽长比相等。

输入电压
低于M1管的阈值电压VT1时,M1管截止,M2管导通,但没有电流,输出电压VO等于电源电压VDD。当输入电压
大于VT1时,M1管开始导通,并随
增大,输出电压VO下降,当通过M1和M2管的电流等于参考电流IR时,M2管从线性区进入饱和区。M1和M2管均工作在饱和区时,随输入电压
的增大,输出电压VO迅速下降。当输入电压
增大到VO+VT1时,M1管从饱和区进入线性区,图2.-5CMOS单级放大器输出电压VO下降到M1管的饱和压降
图2.4-6表示了该电路的输入-输出传输特性。

由图可知,M1、M2管工作在饱和区时,曲线斜率最大(AB段),其交流小信号增益也最大。由交流小信号等效电路可知,M1、M3管工作在饱和区的电压增益等于M1管的跨导gm1,和M1、M2管输出阻抗并联的乘积,即

式中


将
,表示式代入(2.4-14)式得

在(2.4-15)式中,我们注意到一个有趣的结论,工作电流ID减小,电压增益AV增大,AV可达500~2000,这是由于M1和M2的输出阻抗
与ID成反比,而跨导gm1只与1D的平方根成正比的缘故,因此,MOS电路与双极型电路设计不同之处是CMOS有源负载放大器的漏极电流越小,其电压增益越高。只有当此电流降低到使MOS管处于亚阈值区时,场效应管的跨导将正比于漏极电流,这时,CMOS放大器的电压增益与工作电流的变化无关。图2.4-5所示的CMOS放大器,其IOgAv-IOgID的关系曲线如图2.4-7所示。
此外,从(2,-15)式也可以看到,电压增益与沟道长度的调制效应有关。显然,增大沟道长度L,可减小λ值,增大MOS管的输出阻抗,从而提高电压增益。要进一步提高电压增益。
M2管采用第二节所述的高阻抗电流源电路。
对于图2.4-1c的CMOS共源放大电路,也可以M2管作为共源放大器,M1作为M2管的有源负载。
图2.4-1d是推挽式的CMOS单级放大器,电路的连接方式不同于图2.4-1c电路,但电路的传输特性是相同的。这里,就该电路的小信号电压增益作些说明。图2.4-1d电路的M1和M2均工作在饱和区时,其交流小信号等效电路图如2.4-8所示。


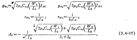
图中的
小信号电压增益是

式中

上式表明,推挽式CMOS单级放大器具有较大增益,可达500~2000。而电压增益Av也与工作电流ID的平方根成反比。
相关资讯
联系方式:邹先生
联系电话:0755-83888366-8022
手机:18123972950
QQ:2880195519
联系地址:深圳市福田区车公庙天安数码城天吉大厦CD座5C1
请搜微信公众号:“KIA半导体”或扫一扫下图“关注”官方微信公众号
请“关注”官方微信公众号:提供 MOS管 技术帮助
