信息来源: 时间:2020-12-22
放大器有三种工作状态:
i、M1管的输入电压
小于开启电压
时,即
管均截止,输出电压VO为高电位。M2管截止时,有
,输出电压VO值在VDD-VT1<VO<VDD范围内。
ii、当
时,M1管由截止区进入饱和区,M1管的ID1电流随
的增大而加大,与此同时M2管也由截止区进入饱和区,因M2管与M●1管是串联的,其漏源电流相同,即ID1=ID2,所以ID2也随着
的增大而加大,ID2的增大是由于VGS增大的结果,这样,电流从截止到导通,并逐步增大,而输出电压VO由VO=VDD-VT1开始迟步下降。如果输出电压VO满足大于
,M1管处于饱和区。而M2管一旦导通,始终处于饱和区。
iii、当
时,M1管由饱和区进入线性区,输出电压VO进一步下跌,而下跌速度减慢。
根据上述讨论,可画出放大器的输入-输出的传输特性曲线。其曲线如图2.4-2所示。
由图2.4-2可知,截止区与饱和区的分界线为
的直线。曲线AB段为,饱和区,其斜率在传输特性曲线中最大,因此,放大器要获得较高增益,M1、M2管应工作在饱和区。在M1管栅极适当偏置直流电压,可使放大器进入饱和区。

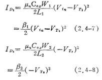
M1、M2管均工作在饱和区时,可得如下方程

因ID1=ID2,由(2.4-1)、(2.4-2)式得

由上式可得图2.4-1a放大器的交流小信号增益,表示式为

交流小信号增益
也可直接从交流小信号等效电路求得。其小信号等效电路如图2.4-3所示。
对于图2.4-1a来说,图2.4-3中的
由图2.4-3得


式中
。如果忽略M1和M2管的输出阻抗,上式可写为

根据η的定义(见第一章第三节),(2.4-6)和(2.4-4)式是相同的。
由(2.4-4)式或(2.4-6)式可知,要提高图2.4-1a放大器增益AVE,只有增大M1管的沟道宽长比W1/L1,减小M2管的沟道宽长比W2/L2,使W1/L1>W2/L2;如果W1/L1=1000W2/L2,不考虑M2管的衬底偏置效应,那么最大增益也只有10倍。所以图2.4-1a的全增强型NMOS单级放大器的增益是比较低的,通常只有几倍。
我们从另一个方面来说明AVE低的原因。根据本章第一节的分析,M2管的等效负载ro等于1/gm,通常1/gm较小,因而增益AVE不大。为提高增益,可采用图2.4-1b的耗尽型作为负载的E/D MOS放大器。
为了提高NMOS放大器的电压增益,将图2.4-1a作为等效负载的n沟增强型MOS管M2由n沟耗尽型MOS管来代替。
i、
时,M1管处于截止状态,输出电压Vo=VDD。
ii、
时,M1、M2管导通。M1管工作在饱和区。M2管在M1管刚导通阶段,因输出电压Vo较大,处于线性区,随着
增大,电流ID增大,输出电压Vo降至Vo<VDD+VT1时,M2管进入饱和区。由图2.4-1b可知,M2管进入饱和区后,
微量增加,使
迅速增大,从而使输出电压Vo迅速下降。
iii、
时,M1管由饱和区进入线性区,M₂管仍在饱和区,输出电压Vo下降变慢。
综上所述,图2.4-1b的输入-输出特性曲线如图2.4-4所示。

由图可知,曲线AB段斜率最大,其交流小信号增益也最大。因此,图2.4-1b作为小信号放大时,应使M1、M₂管均工作在饱和区。
M1、M₂管均工作在饱和区时,可得如下关系式:

因
,由(2.4-7),(2.4-8)式得

由上式得E/D NMOS线放大器的增益AVD为

AVD同样可用交流小信号等效电路图2.4-3求得

忽路M1、M2管的输出阻抗,上式写为

(2.4-12)式与(2.4-10)式是相同的。比较(2.4-12)式与(2.4-6)式,AVD与AVE有如下关系式,即

因η2近似等于0.1左右,AVD比AVE大1个数量级,因此用耗尽型作负载的放大器要比用增强型作负载的放大器的增益来得大,所以在NMOS放大电路中,往往采用E/D MOS电路,以提高电压增益。
由(2.4-10)式或(2.4-12)式可知,增大AVE增益,M1管跨导
要大,M2管跨导
要小,即
的比值要大。虽然E/DMOS单级放大器的电压增益AVD比全增强型NMOS单级放大器的电压增益AVE大,但也只有几十倍左右。
联系方式:邹先生
联系电话:0755-83888366-8022
手机:18123972950
QQ:2880195519
联系地址:深圳市福田区车公庙天安数码城天吉大厦CD座5C1
请搜微信公众号:“KIA半导体”或扫一扫下图“关注”官方微信公众号
请“关注”官方微信公众号:提供 MOS管 技术帮助
