信息来源: 时间:2020-12-21
所谓CMOS偏置电路,就是将图2.3-1中的偏置电阻
,用P沟MOS管来代替,其电路形式如图2.3-5所示,在1CMOS运算放大器以及其他的MOS模拟电路中,偏置电路一般采用图2.3-5的电路形式。

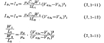
其设计公式如下:

式中的
为P沟道中的空穴迁移率,通常为n沟道中的电子迁移率μn的1/2~1/4。

在低电源电压、低功耗CMOS运算放大器电路中,偏置电路有时采用图2.3-6的电路形式。此时M2管工作在线性区。并有较大的
电压,因此M2管的沟道宽长比较小,计算机分析表明,图2.3-6电路偏置稳定性比图2.3-6电路要好。其设计公式为
联系方式:邹先生
联系电话:0755-83888366-8022
手机:18123972950
QQ:2880195519
联系地址:深圳市福田区车公庙天安数码城天吉大厦CD座5C1
请搜微信公众号:“KIA半导体”或扫一扫下图“关注”官方微信公众号
请“关注”官方微信公众号:提供 MOS管 技术帮助
