信息来源: 时间:2020-12-21
在MOS模拟集成电路中,偏置电路是不可缺少的重要组成部分。偏置电路与上一节恒流源电路密切相关。在第二节,我们对恒流源电路的恒流特性及输出阻抗进行了讨论,而对如何实现参考电流IR没有进行说明,这一节,将重点讨论参考电流源IR如何实现。IR决定后,就可根据沟道的宽长比(W/L)设计出所需要的恒流源电流IO。
基本的偏置电路如图2.3-1所示。参考电流IR由电阻RB、电源电压(VDD、Vss)和M2管的VGS,电压所决定,即

M2管工作在饱和区,其电流可用下式表示

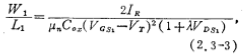
由上式可得M1管的宽长比为

上式的
,电压值较小,
因此上式可简化为

利用(2.3-1)、(2.3-4)式,对于给定的IR、电源电压(VDD、VSS)和M1管的VGS电压,可求得
和M1管的宽长比W1/L1,现举例如下:
【例】IR=80微安,VDD=5伏,VSS=-5伏,VGS1=2伏,VT=1伏,μD=600厘米2/伏●秒,
toх=1000埃,Io1=100微安,Io2=200微安,εo=8.85×10-14法/厘米,εoх=3.9。
试计算
。
由(2.3-1)式

由(2.3-4)式

取L1=L2=L3=10微米,
则W1=80微米,W2=100微米,W3=200微米。
图2.3-1的偏置电阻RB的阻值较大,需占用较大硅片面积,为提高集成度,RB电阻可用MOS管取代。
相关资讯
联系方式:邹先生
联系电话:0755-83888366-8022
手机:18123972950
QQ:2880195519
联系地址:深圳市福田区车公庙天安数码城天吉大厦CD座5C1
请搜微信公众号:“KIA半导体”或扫一扫下图“关注”官方微信公众号
请“关注”官方微信公众号:提供 MOS管 技术帮助
