信息来源: 时间:2020-12-16
MOS场效应管模型 如图1.4-6所示。

MOS场效应管的主要参数关系式和工艺参数如下(详见参考文献[12]);

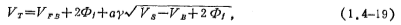
式中a为短沟道修正系数,

式中μ。为低电场载流子迁移率。
θ为迁移率的修正系数。



式中L为沟道长度的设计值,
为扩散深度(结深),短沟道MOS阈值电压模型a为扩散的横向修正系数。



式中


式中W为沟道宽度的设计值,xw为场氧化层厚度



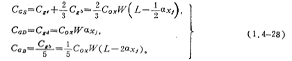
将(1.4-26)式中的VD用(1.4-21)式的
代替,短沟道MOS阈值电压模型。可以得到饱和区的IDS关系式。






式中
W,L,分别为漏或源的扩散区的宽度和长度,
为p-n结的接触电势。

联系方式:邹先生
联系电话:0755-83888366-8022
手机:18123972950
QQ:2880195519
联系地址:深圳市福田区车公庙天安数码城天吉大厦CD座5C座
请搜微信公众号:“KIA半导体”或扫一扫下图“关注”官方微信公众号
请“关注”官方微信公众号:提供 MOS管 技术帮助
