信息来源: 时间:2020-12-16
为了使MOS场效应管在一定的温度范围内能稳定可靠地工作,在设计时必须考虑适应其参数随温度的变化,半导体器件一般的工作温度范围有两种:一种是军用范围,通常为-55~+125℃;另一种是民用范围,一般为-25~85℃。MOS管阈值电压温度效应。因此,要根据不同的使用情况,来确定对场效应管温度性能的要求。
MOS场效应管性能随温度的变化最主要表现在阈值电压VT及载流子迁移率随温度的变化,下面分别进行讨论。
以n沟增强型管为例进行讨论,由第二节的讨论可知,n沟增强型管的开启电压(见(1.2-12)式及其说明)为

式中

为p型衬底的费米势,其中
与T的关系可表示为

假定氧化层中的正电荷面密度Qss与温度T无关,实验还发现SiO2两边的金属与半导体Si的接触电势差
,在很宽的温度范围内,近似与温度无关。MOS管阈值电压温度效应。这样就可得到VT随温度T的变化率为

其中

如果在T=300K时,
电子伏特,tox=1000埃,Cox=35×10-3法,则有

若

则

由计算得到的开启电压随温度的变化系数与实验结果较为一致。因此,对于上述例子,如果工作温度变化幅度为ΔT =+100℃,则ΔVT≈ -0.267伏;如果在25℃时,VT为1伏;则在125℃时,VT为0.733伏,如图1.4-5所示。MOS管阈值电压温度效应。对和沟MOS管而言,当温度提高时,阈值电压将降低。对于P沟MOS管,可同样进行讨论,它的
总是正值。图1.4-5表示了n沟MOS管的阈值电压VT随温度变化的情况。

沟道中载流子的迁移率随温度的变化是MOS场效应管温度效应的第二个重要因素。实验证实,对于MOS场效应管而言,如果表面电场小于102伏/厘米,则沟道中电子与空穴的有效迁移率近似于常数,并约等于半导体体内迁移率的一半。实验发现,在-55~+125℃温度范围内,迁移率μ与温度T近似成反比关系,即

MOS管的阈值电压及较流子的迁移率随温度的变化反过来会影响MOS管的电导,即影响它的电流。
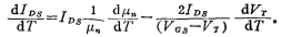
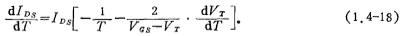
VT的降低使IDS增加,μn的降低会使IDS减小,因此当温度升高时,IDS究竟是增加还是减小,要看这两个效应那个起主要作用。为此将(1.3-9)式对T求微商

由于在一般工作温度范围内
,因此上式成为

如果某n沟MOS场效应管的开启电压VT=1伏:工作时VGS=3伏,
伏/℃,则
在300K时的值为

这时,漏源饱和电流的温度系数为负值.说明迁移率变化的影响超过开启电压变化的影响。总的来说MOS场效应管电性能的温度稳定性要比双极晶品体管好。MOS管阈值电压温度效应。
以上讨论可知,温度升高,使阈值电压VT下降,迁移率减小,漏源电流IDS减小。
联系方式:邹先生
联系电话:0755-83888366-8022
手机:18123972950
QQ:2880195519
联系地址:深圳市福田区车公庙天安数码城天吉大厦CD座5C1
请搜微信公众号:“KIA半导体”或扫一扫下图“关注”官方微信公众号
请“关注”官方微信公众号:提供 MOS管 技术帮助
