信息来源: 时间:2020-12-15
以上给出了MOS场效应管的一级近似模拟,并在近似条件下推导出一些重要的关系式,这些无疑对分析和设计MOS电路是非常重要的。但随着MOS集成电路的集成度和速度的提高,器件尺寸越做越小,沟道长度越来越短,由此产生短沟道效应,使阈值电压下降,这就需要对阈值电压关系式进行修正。此外,例如温度变化,使MOS器件性能发生变化等。为了提高设计的精确性,本节将介绍些MOS器件的二级效应,并给出相应的修正公式。
第三节讨论了沟道长度调变效应,其沟道长度调制参数λ为(见(1.3-13)、(1.3-11)式)

上式表明,沟道长度L越短,λ值越大。根据典型实验数据,当L大于25微米时,1约为0.01/伏,当沟道长度L小于25微米时,λ可用下式表示:

式中L以微米为单位。
沟道长度缩短后,不仅使输出阻抗降低,也使阈值电压下降,体效应减弱。沟道长度缩短后,对阈值电压有贡献的耗尽区电荷总量Qb将减小,因为终止于耗尽层电荷的电力线,部分来自栅极电压,部分来自漏源电压,当沟道长度较长时,可忽略漏源电压电力线的影响,认为耗尽层电荷Qb只对阈值电压有影响;MOS管短沟道效应。而沟道长度缩短后不能忽略漏源端电压对耗尽层电荷的影响,造成阈值电压有贡献的耗尽区电荷总量Qb减小,使阈值电压降低。

当沟道长度小于5微米时,可用图1.4-1所示的二维梯形模型来分析这时的阈值电压。图中
为n+扩散区的结深,L为沟道长度,
为耗尽层厚度。
若假设器件的漏源电压非常小,从源极到漏极之间的耗尽层宽度是均匀的,其宽度为
,然而在考虑了源区和漏区的耗尽层宽度后,栅区下面的耗尽层电荷Qˊb为:

而 
由图1.4-1中的几何关系可得:

由上式我们可以得到:

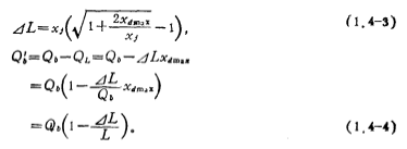
考虑了耗尽层电荷修正后,并参照(1.2-15)和(1.2-18),体效应因子(衬底偏效)γ可作如下修正:
因:

由上式可得:

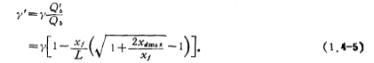
即得修正后的体效应因子γˊ为

由上面讨论可知,沟道长度L小于5微米时,体效应因子γ减小,其L与VT的典型值关系如图1.4-2所示。该图引自参考文【2】

沟道长度L缩短到5微米以下时,不仅要考虑沟道长度调制效应,而且还要考虑由于横向扩散使沟道长度缩短。这时,有效沟道长度
可表示为:
(i)线性区
(1.4-6)
(i)饱和区
(1.4-7)
式中
为扩散深度,a为横向扩散修正系数。
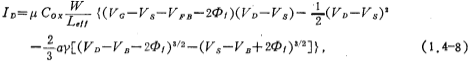
另一方面,我们在指导线性区漏源电流ID表示式时,假定沟道下面的耗尽层电荷Qb是常数。实际上Qb是沟道电压的函数,是一个变量。考虑到(1.4-6)式和Qb是一变量,以及短沟道效应ID关系式修正为(推导可参看资料[11]pp.94~95)

(1.4-8)式的VD、VG、VS,VB都是对参考点的电压,a为短沟道效应的修正系数,通常取0.9,进入饱和区时,漏极电压
表示为(见参考文献[12])

饱和区的漏源电流ID只要将(1.4-8)式中的VD用(1.4-9)式
取代即可。
此外,MOS管短沟道效应。。短沟道使漏源击穿电压降低,长沟道MOS场效应管的漏源击穿电压主要是p-n结的雪崩击穿,而短沟道MOS场效应管的漏源击穿电压由穿通电压引起,穿通电压的大小与沟道长度有关,沟道长度越短穿通电压越低。
相关资讯
联系方式:邹先生
联系电话:0755-83888366-8022
手机:18123972950
QQ:2880195519
联系地址:深圳市福田区车公庙天安数码城天吉大厦CD座5C1
请搜微信公众号:“KIA半导体”或扫一扫下图“关注”官方微信公众号
请“关注”官方微信公众号:提供 MOS管 技术帮助
