信息来源: 时间:2020-12-14
前面讨论了MOS场效应管的大信号模型,我们可以从MOS管大信号模型推导出MOS场效应管的交流小信号模型。图1.3-9即是从图1.3-1b演变而来的MOS场效应管的交流小信号模型。图中各参数定义如下:
=图1.3-1b中衬底二极管D1、D2的交流电导

由于在通常情况下,二极管D1、D2处于反偏的,因此
很小。


为正压控制的电流源,

漏源电流的等效噪声(主要是
噪声)

KF=1/f噪声系数(典型值为10-14);
AF=1/f噪声指数(典型值为1.0);
f为频率。
在上述模型中,考虑了MOS场效应管的噪声特性。MOSFET的交流小信号模型。MOS场效应管的噪声包括闪烁噪声(1/f噪声)以及
与
的热噪声。当MOS场效应管在低频范围应用时,它的
噪声往往是主要的噪声源,与MOS场效应管栅氧化层的质量密切相关,一般约为双极型晶体管中.1/f噪声的5至10倍,因此在设计MOS场效应管放大器时更应注意其噪声的影响。
当S与B短接时,上述模型可用图1.3-10中的电路来近似,这里还略去了
和噪声的影响。在低频应用时,还可略去图中的电容效应。


在上述模型中的电容将影响MOS场效应管的高频特性。要提高器件的工作频率,应减小栅区面积以及缩短器件的沟道长度。此外,由于反型层中电子的有效迁移率比空穴的大3倍左右,故n沟MOS场效应管的高频特比P沟MOS场效应管好。
在下面的讨论中,仍以n沟MOS场效应管为例,其结果也适用于P沟MOS场效应管,只要VGS、VDS以及VT的符号作相应的变化即可。
根据以上定义,跨导就是在漏源电压、衬底-源电压一定时,漏源电流随栅源电压的变化率,用它来表征输入电压对输出电流的控制能力,gm越大,控制能力越强。这里所讨论的gm是指在饱和区的跨导。gm可从输出特性曲线(图1.3-11)求得。

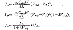
若不考虑沟道调制效应,那么ID在饱和区时的关系式为:

根据gm定义及上式,gm的表示式为:

令 
则由上述的关系式中,gm可表示为

由上式可见,为了提高跨导,就要求增大β,即增加沟道的宽长比W/L以及电子迁移率
,并减小栅氧化层厚度tox,此外也可增大电流ID,但以增加宽长比最为有效。MOSFET的交流小信号模型。一般来讲,MOS管的跨导比双极型晶体管低得多。
衬底跨导gmb表示了衬底偏置电压变化对MOS场效应管漏源电流的影响。当MOS场效应管工作在饱和区时,由ID,VT等关系式(1.3-7)、(1.3-9)可算得gmb为:

式中
当
时,衬底跨导在交流小信号分析中显得很重要。

根据输出电导的定义(1.3-29)和ID与VGS、VDS 的关系式(1.3-15),可算出MOS场效应管在线性区的输出电导:

当VDS《 VGS-VT时,上式可写为:

比较(1.3-37)式和(1.3-33)式可见,MOS场效应管工作在线性区时,其输出电导与饱和区的跨导相同。通常用导通电阻
来表示线性区输出电导,即

上式也可以表示MOS场效应管用作模拟开关时的导通电阻。显然,沟道宽长比W/L越大,VGS越大,其导通电阻也越小,图1.3-12示出了沟道宽长比W/L与导通电阻的关系。线性区的输出特性曲线如图1.3-13所示。曲线的斜率的倒数(VDS/ID)即表示导通电阻
。随着VGS-VT从零逐渐增大,
从无限大逐渐减小。


当MOS场效应管工作于饱和区时,如果忽略沟道长度的调制效应时,ID将不随VDS而变,即它的
近似为零,这时它的输出电阻趋于无穷大。MOSFET的交流小信号模型。实际上,由于沟道调制效应的影响,其输出电流随VDS的增加而略有增大,从而使
增加,输出电阻
变小。由(1.3-12)
(1.3-13)式可算得饱和区的输出电导为:

上式的IS与ID的关系为:

显然,输出电阻
为:

输出电导与λ的关系可由图1.3-14来表示。
从(1.3-44)式可知,要增大输出电阻
,应减小沟道调制参数λ和减小工作电流ID,而λ和ID都与沟道长度L成反比,那么,输出电阻
与沟道长度L的平方成正比(
).即增大沟道长度L可增大输出电阻
。

一般来说,与双极型器件相比,MOS器件的噪声更大,因此,在MOS模拟电路的设计中,必须更仔细地分析它的噪声特性。
MOS器件的噪声可以分成两部分:热噪声和1/f噪声,其等效输入噪声的频谱如图1.3-15所示。

MOS器件的热噪声主要由有限的沟道电阻所产生,其等效输入热噪声电压为

式中gm是器件的跨导。
由上式可知,热噪声与温度、器件的尺寸(沟道的宽长比)以及它的偏置电流有关。对于n沟MOS器件,它的工作电流为50微安、沟道的宽长WL==100×10微米2和氧化层厚度
1200诶时,其热噪声电压为10纳伏/(赫兹)1/2。
另一部分是由于硅和二氧化硅的界面态所产生的1/f噪声,其值为:

式中a近似为1。KF的典型值为3×1024(伏2 ● 法)/赫兹,对于n沟MOS器件,其工作电流为50微安、沟道WL为100×10微米2、频率在1千赫时,它的1/f噪声电压约100纳伏/(赫兹)1/2。
联系方式:邹先生
联系电话:0755-83888366-8022
手机:18123972950
QQ:2880195519
联系地址:深圳市福田区车公庙天安数码城天吉大厦CD座5C1
请搜微信公众号:“KIA半导体”或扫一扫下图“关注”官方微信公众号
请“关注”官方微信公众号:提供 MOS管 技术帮助
