信息来源: 时间:2020-12-14
MOS管大信号模型(见图1.3-1b)中的五个电容,其
和
为
结势垒电容,
、
和
为栅极电容,这些MOS电容模型分布如图1.3-7a、b所示,下面分两种类型来讨论它们的模型。
和

式中
为零偏电压时单位底面积的结电容,AD为MOSFET漏区面积,AS为MOSFET源区面积,m为底面电容的梯度因子(一般取
),
为漏源区与衬底间的pn结接触电势差(一般取0.8伏),
为零偏电压时单位周长的结电容,PD为漏区周长,PS为源区周长,mjsw为侧面电容的梯度因子(一般取
):Cj和Cjsw为待定的模型参数。
和
图1.3-7a、b分别示出了MOS管的五个电容分布和MOS管的剖面结构图,图中Is为栅氧化层与源区的交叠长度,MOS电容模型,ID为栅氧化层与漏区的交叠长度,
为栅源交叠电容,
为栅漏交叠电容,C2为栅氧化层电容,C4为栅-衬底之间电容。


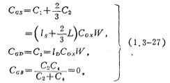
当MOSFET处于截止状态,即漏源之间的反型层沟道未形成时,栅极电容可分别表示为:

其中
,截止时C4较大,故
。
当MOSFET处于线性区时,漏源之间产生反型层沟道,并且沟道与衬底之间形成较厚的耗尽层,形成一个较小的耗尽层电容C4,此时栅极电容可表示为:

当MOSFET处于饱和区时,漏端夹断,沟道长度缩短。MOS电容模型。从沟道电荷分布考虑,相当于CGS增大,CGD减小,此时栅极电容可近似表示为:

上述棚极电容在不同工作区的近似值可由图1.3-8表示。

以上讨论了MOS管的五个电容,这些电容决定了MOS管的交流特性和瞬态特性。
联系方式:邹先生
联系电话:0755-83888366-8022
手机:18123972950
QQ:2880195519
联系地址:深圳市福田区车公庙天安数码城天吉大厦CD座5C1
请搜微信公众号:“KIA半导体”或扫一扫下图“关注”官方微信公众号
请“关注”官方微信公众号:提供 MOS管 技术帮助
