信息来源: 时间:2020-12-11
MOS场效应管的直流特性
去除图1.3-1b中的五个电容,即得n沟MOS管的直流特性模型。该模型除欧姆电阻
外,只对漏源电流ID及两个衬底结二极管进行模拟。
由第一节讨论可知,MOS场效应管工作区分可成线性区(可调电阻区)和饱和区。
现以n沟增强型MOS为例,讨论沟道夹断前(即在线性区时)MOS管的电流-电压特性。在线性区,漏电压VD比栅电压VG小。n沟MOS管的立体图如图1.3-2所示。从源极到漏极形成反型层沟道,沟道的宽度W与沟道的长度L是定值,沟道厚度
小于氧化层厚度tox,沟道的立体图画在图的右面,Y方向为电流ID的流向。

设沟道的电流密度为J(x,y),则漏源电流ID为:

因 
而V是沟道电压,它是х、у的函数。
将(1.3-2)式代入(1.3-1)式得

上式n为沟道中的电子浓度,μn为电子迁移率。
因
很小,在
方向上可近似认为沟道电压V是常量,因而沟道电压V只是y的函数,并假设沟道中的电子迁移率也是常量,则上式可写为:

而
每平方厘米上的沟道电子电荷=栅极电荷-VT感应电荷:

将上式代入(1.3-4)式得:

将上式两边积分得:

由上式得

式中μn为沟道内的电子平均迁移率,单位是厘米2(伏·秒);
=单位面积的栅氧化层电容,单位是法/厘米2;
为真空电容率,其值为8.85×10-14法/厘米;
为栅介质SiO2的相对介电常数,其值为3.8~4;
为栅氧化层厚度,其值一般为600~1000埃;W为沟道宽度;L为沟道长度;阈值电压VT表示式为:
其中VT,是指
时的阈值电压,所以VT称为零偏阈值电压,其值由下式决定:

如果假定阈值电压VT为某值(如VT=1),那未利用(1.3-6)式可作出ID~VDS关系曲线,其曲如图1.3-3所示,对应于某一个VGS,ID有一个最大值,最大值处的VDS=VGS-VT。即VDS≥VGS-VT时,已不是线性区,而进入饱和区。当VDS增大到
时的漏源电压,在漏端的沟道开始夹断,即漏端的感应沟道消失。MOS场效应管的直流特性。这样,(1.3-6)式已不适用了。进入饱和区后,ID基本上保持不变,它可以由(1.3-6)式中的VDS由
代入而得,即有


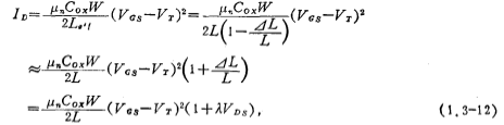
进入饱和区后,由于漏区和沟道夹断点之间存在着势垒区(见图1.1-9c),使沟道的有效长度比未夹断时的长度缩短,这个效应称为沟道长度调变效应。设沟道长度缩短值为ΔL,那么受调变作用影响的沟道有效长度为:

式中的ΔL可由下式表示:

从式(1.3-11)可看出,沟道长度的缩短ΔL与漏源电压VDS有关,VDS越大,漏区和沟道夹断点之间的势垒宽度越大,即ΔL越大,有效沟道长度
就越小。
沟道长度调变效应造成饱和区电流随着漏源电压VDS的增加而增加,使MOSFET的漏源输出阻抗降低。
为反映MOSFET进入饱和区后的沟道长度调变效应。只要将(1.3-9)式中的L用(1.3-10)式的
取代就是了。其关系式写为:

式中的
,为沟道长度调变参数,单位是伏-1。 (1.3-13)

利用(1.3-6)式和(1.3-12)式,得到MOSFET的输出特性曲线如图1.3-4所示。为清楚起见,图中采用规一化座标。当
。在饱和区部分,
用实线表示;
用虚线表示。
综上所述,MOSFET的工作区可分三个区,即截止区、线性区和饱和区。其各区的电流-电压关系式为:




(1.3-14~16)中的VT仍用(1.3-7)式表示。
由(1.3-7)式可知,阈值电压VT与衬底和源极间的反向偏压
有关,VDS=0时,
,随着反向偏压
增大,VT也增大。这种VT随
增大而增大的效应,通常称为衬底偏置效应或体效应,其
关系曲线可由图1.3-5表示,其转移特性曲线(ID-VGS)如图1.3-6所示。
在电路和版图设计时,通常将MOS管的源极与衬底连接,以避免衬底偏置效应。

因MOS场效应管是对称的,故n沟MOSFET既可工作在正向区,即VDS>0,也可工作在反向区,即VDS<0。工作在反向区时,其作用相当于正向区漏极变成反向区源极,正向区源极变成反向区漏极。MOS场效应管的直流特性。同样可写出反向区的电流-电压关系式。



(1.3-16~18)式中的VT的表示式为:

式中
与(1.3-7)式相同。
衬底二极管电流可用晶体管中理想的Pn结电流方程来模拟,它们是:

式中
为衬底同源之间的二极管电流,
为衬底同漏之间的二极管电流,
为衬底同源之间的偏置电压,
为衬底同漏之间的偏置电压,As为MOSFET源区面积,AD为MOS-FET漏区面积,
为pn结反向饱和电流密度。
图1.3-1b中的漏、源欧姆电阻
数值较小,它对MOS管工作点影响可忽略,通常可取其为零。
以上讨论了n沟MOSFET的直流模型,给出了漏源电流ID的关系式,这些关系式同样适用于P沟MOSFET,只要在ID关系式中将沟道表面电子迁移率μn换成沟道表面空穴迁移率
,并改变ID符号。
根据MOSFET的直流模型,就可算出MOSFET的直流工作点(电压和电流)。