信息来源: 时间:2020-12-10
由许多MOS管所构成的MOS集成电路中,很多管子做在同一块衬底上,这时就不能把所有MOS管的源极与公共的衬底相连,势必有些管子的衬底相对源极加上了一个反向偏置电压
,由于
电压的影响,使增强型MOS管的开启电压增大,而使耗尽型管向增强型管的方向变化,n沟MOS管衬底加偏置的情况如图1.2-6所示。

在MOS的衬底与源之间加了反偏电压后,沟道与衬底之间的耗尽区宽度变大,带负电的离子增多,从而耗尽区内有较多的负电荷。MOS管衬底偏置效应。在此同时,由于栅极电压没有变化,所以栅极上的正电荷域没有改变。按照整个系统的电荷守恒原理,硅表面总的负电荷量也不应改变。由此可见,耗尽区中空间负电荷的增加必然会使沟道中电子电荷密度相应减少,因此导致沟道导电能力的减弱。若仍要维持沟道内原有的电子电荷密度,以保持其导电性能,必需增加栅极电压VGS来增加正电荷总量以补偿
引起的空间电荷区中负电荷的增加。n沟道MOS管的开启电压就相应提高了。MOS管衬底偏置效应。显然,VBS越大,开启电压的增加量ΔVT也越大。下面来讨论ΔVT。
由于反向偏压
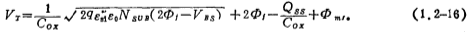
的作用,沟道和衬底间的耗尽层向衬底内部扩展,耗尽层中的电荷增多,与(1.2-6)式相似,可表示为:

其阈值电压为:

(1.2-16)式减去(1.2-12)式,即得ΔVT:

式中

称为体效应因子。从而:

对于P沟增强型MOS管,ΔVT<0,即:

联系方式:邹先生
联系电话:0755-83888366-8022
手机:18123972950
QQ:2880195519
联系地址:深圳市福田区车公庙天安数码城天吉大厦CD座5C座
请搜微信公众号:“KIA半导体”或扫一扫下图“关注”官方微信公众号
请“关注”官方微信公众号:提供 MOS管 技术帮助
