信息来源: 时间:2020-11-23
设计CMOS电路,在一般情况下,根据用户要求和给定的电路指标,首先对电路中各器件进行设计,然后画出版图,最后定出工艺参数。本节主要介绍CMOS电路器件设计和版图设计。CMOS电路器件。
由于倒相器是电路的基础,所以先考虑倒相器各器件的设计。CMOS电路器件。CMOS倒相器的设计,对高电平和低电平的要求可不予考虑,主要的设计指标是最高工作频率和噪声容限。设计指标和工艺参量由表5-4给出。

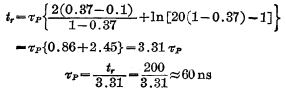
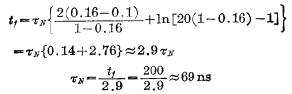
根据给定的条件,我们可从工作频率出发进行计算。为达到最佳速度,应取
,由于
,因此有:

为满足最高工作频率的要求,取上升和下降时间更小些,假定
。
为了保证电路在所给定的指标范围内良好地工作,同样要采用“最坏条件”进行设计。CMOS电路器件。对于工作频率来说,低的电源电压、高的阈电压,厚的氧化层和大的负载电容是不利因素,所以计算时应取下列数据:

首先,根据最坏条件的数据写出归一化阀值电压:

根据(2-86)式,进行计算:

根据(2-77)式
,可得到:

由于
,可得到负载管的宽长比为:

根据(2-82)式:

于是,可求得:

由
,求得输入管的宽长比为:

若
,如沟道长取10μm、则负载管的沟道宽取140μm,输入管的沟道宽取60μm。
如果所计算的单元是一个二输入端的“与非”门电路,由于负载管是并联的,
,所以两负载管的沟道宽长比与上面倒相器负载管的尺寸相同;CMOS电路器件。而输入管是串联的,
,所以每个输入管的宽长比应是上面倒相器输入管的2倍。
根据最大噪容定义:高电平最大嗓容
,低电平最大噪容
。因此,只要算出转换电平,也就确定了噪容。CMOS电路器件。对于高电平噪容的最坏条件,
,可根据式(2-68)算得转换电平为:

对于低电平噪容的最坏条件,
,算得转换电平为:

于是,求得高电平噪容为:

低电平噪容为:

可以满足设计指标噪容为3V的要求。
根据(2-92)式,功耗为:

联系方式:邹先生
联系电话:0755-83888366-8022
手机:18123972950
QQ:2880195519
联系地址:深圳市福田区车公庙天安数码城天吉大厦CD座5C1
请搜微信公众号:“KIA半导体”或扫一扫下图“关注”官方微信公众号
请“关注”官方微信公众号:提供 MOS管 技术帮助
