信息来源: 时间:2020-11-19
MOS集成电路的设计,一般应包括逻辑设计、器件设计、版图设计和工艺设计等诸方面。若电路图已经给定,则设计的任务就归结为确定电路中各器件的尺寸(主要是沟道的宽长此)、面出器件的图形、进行排版、绘出合理的电路总版图(掩膜复合版)等。PMOS集成电路的版图。以便提供工艺所采用的光刻掩膜和考虑能够达到电路指标的工艺条件。
实际的电路设计是比较复杂的,要考虑到许多重要的因素,有些因素是相互制约的。所以在设计中要处理好各种因素之间的相互关系,以保证电路的各种性能符合指标要求。
本章主要介绍PMOS、CMOS集成电路设计的基本原则以及具体的设计方法和步骤。
在讨论设计问题之前,先对设计中必然遇到的几个问题,作一些介绍。
电路性能指标,是设计电路的依据。一般根据实际工作的需要,由用户提出。表5-1所列为某一电路的设计性能指标,其中也给出了工艺参数。

所谓设计性能指标,就是要求设计出来的电路,它的各种性能、参数都要符合指标所规定的范围。例如:要求
时,构成电路的输出倒相器的裁止时间要求满足
电路的功耗不超过30mW,等等,否则所设计的电路是不合格的。
①输出高电平
对PMOS而言,可利用(2-9)式进行分析。

可见,要使
接近于零,必须要求
由设计性能指标规定,那么设计时主要考虑输入管与负载管的几何尺寸比。比值愈大,则输出
就愈接近于零。
②截止时间
根据(2-41)式,对于PMOS,有:

可见,要使开关速度快,必须
。若电源电压和阀值电压预先给定,则所设计的负载管的几何尺寸要大,即
。
③功耗P 功耗
。要使电路的功耗低,必须
。设计中主要是使负载管的沟道几何尺寸尽可能小,即
④抗干扰性能 可由截止、导通容限的表达式进行分析。要使电路有较强的抗干扰性能,必须要求
是给定的,PMOS集成电路的版图。所以设计时要尽量增大输入管和负载管的几何尺寸比。
综上所述,可以归纳于表5-2。

从上面分析知道,功耗与速度对设计的要求是相互矛盾的。从功耗出发,负载管的尺寸要小;而从速度出发,则负载管的尺寸要大。所以在设计中,不能只追求某一性能指标而不顾其它性能,而应分清主次,全面协调。PMOS集成电路的版图。通常的设计是根据速度的要求来决定负载器件的几何尺寸,然后验证是否能满足功耗要求。如不满足,必须调整设计参数。
在设计中,不仅要处理好各种矛盾,还必须处理好理论设计与实际工艺水平之间的关系,即要求的性能指标、工艺成品率及器件的最小条宽都必须与当前的实际工艺水平相适应,以保证生产能达到较高的合格率。
电路设计除了要处理好上述各种相互制约的因素以外,还应考虑电路实际工作中所遇到的一些不利条件。PMOS集成电路的版图。例如电源电压的波动、环境温度的升高以及工艺参数的起伏等等,都会对电路的性能产生不利的影响,因此设计时,应从最坏条件考虑。
若电路能在最坏条件下正常工作,那么在正常条件下,电路的工作当然会处于更理想的状态。
所谓最坏条件,是指设计时所用的参数正好与改善电路的性能所希望的相反。例如负载管的设计,是决定电路开关速度快慢的。要求速度快,就要求
,如果选取
的条件,就会使电路的速度降低,所以这是负载管设计的最坏条件。又如输出管设计,反映输出高电平的最坏条件是高的
和低的
。
下面我们根据最坏条件,对电路进行设计。
任何一个比较复杂的MOS电路,都可分解成为许多门电路,其中倒相器是最基本的单元。而倒相器又可根据其所在位置及在电路中的作用分为输出倒相器和内部倒相器两类。PMOS集成电路的版图。所以整个电路中各个MOS管的沟道几何尺寸的设计,可归结为输出倒相器和内部倒相器负载管与输入管几何尺寸的设计。下面的讨论都以共福漏负载MOS倒相器为例。
电路的输出倒相器,是指驱动外部负载用的输出电路,如图5-1所示。输出负载包括另外两块电路片A、B及其互连线。设计时,可将其等效为一个负载电容
。

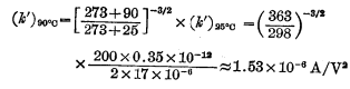
①负载管设计 输出倒相器负载管设计,一般由电路的开关时间中的截止时间来决定。由于负载管是共栅漏偏置,始终工作在饱和区,根据饱和型PMOS负载倒相器截止时间的表达式,可得到负载管宽长比的表达式:

下面考虑(5-2)式中各个参数的取值。
a、
应考虑背面栅效应,对于PMOS有:

其中
在
与
之间变化,因此可取两者的平均值:

所以
b、
考虑到设计指标给出最高温度
,根据(1-71)式,可得:

c、电源电压取最小值 即
,其它参数都按给定指标。
将上式数据代入(5-2)式,可得:

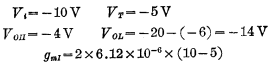
②输入管的设计输入管的设计一般由电路的静态特性(输出高电平)来决定。根据(2-9)式:

由于:

其中
为前一级输入低电平,所以可写出输入器件沟道宽长比的计算式:

用最坏设计条件
的数据代入,得到:

综上所述,得到输出倒相器负载管的宽长比为1,输入管的宽长比为12。若沟道的最小尺寸取8μm,则输出倒相器两管的尺寸分别为:

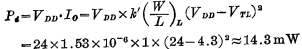
在MOS电路中,通常希望输出倒相器能够具有较大的驱动能力,因而耗散功率较大。在实际电路设计中,输出级所计算出的耗散功率几乎要等于电路中其它倒相器的总和。
输出倒相器的功耗,可以根据前面给的设计指标,并考虑到最坏设计条件,从功耗公式算得:

上述计算表明,输出倒相器的功耗,约为电路总功耗的一半,可见负载管的竟长比取1是合适的。
如果考虑到实际工作的电路,过高的结温会引起PN结漏电明显,使功耗增加,在不影响速度的前提下,可使(W/L)L取小一些。
所谓内部倒相器是指在电路内部只驱动一个内部负载或一个逻辑门的倒相器,如图5-2所示。PMOS集成电路的版图。其设计过程基本上与输出倒相器相同,但在设计细节上,还有以下几点不同:
a、内倒相器的速度 一般由规定的最大时钟频率确定,所以内倒器要求有较高的开关速度。假定截止时间
,可满足时钟频率要求,则计算时就可取存
。
b、内倒相器驱动负载的能力要求不高 一般一个内倒相器只要驱动3~4个下一级的内倒相器,如每个负载电容
,则总的负载电容为2pF。
c、内倒相器输出高低电平要求不高 输出高电平
要求并不象输出倒相器那么严格,只要能使下一级正常截止就可以了。因此取:

其中
噪声电压,一般是取1V,所以,

输出低电平要求也较低,只要能保证下级倒相器正常导通即可。
下面我们利用查图表的方法来设计内倒相器。
首先写出对最大输出电压归一化的电压式:

其中
(比输出倒相器要求低),
。

所以:
查图表(2-26)得,
。
由于:
可写出宽长比的计算式:

归一化输入电压为:

归一化输出电压为:

查图表(2-15)得
,即得:

在实际设计中,往往使
小一些,所以一般取
为
的倒数,故取
。
若沟道的最小宽度仍取8μm,则可写出内倒相器的沟道尺寸为:

在设计输出倒相器时,输入管的计算使用了输出低的高电平
,这就保证了导通时间远小于截止时间。PMOS集成电路的版图。但在内倒相器输入管的计算时,由于采用了较高的高电平
,就不一定保证导通时间小于截止时间。所以必须对由

,数据进行验证,视其导通时间能否满足小于1μs的要求。
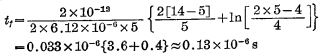
导通时间由(2-36)式给出:

其中各个参数(考虑到最坏条件)数据为:


代入(2-36)式,得:

可见
比规定1μs小得多,所以上面的设计数据完全能够满足内倒相器开关速度的要求。
联系方式:邹先生
联系电话:0755-83888366-8022
手机:18123972950
QQ:2880195519
联系地址:深圳市福田区车公庙天安数码城天吉大厦CD座5C1
请搜微信公众号:“KIA半导体”或扫一扫下图“关注”官方微信公众号
请“关注”官方微信公众号:提供 MOS管 技术帮助
