信息来源: 时间:2020-11-5
从分析单沟道MOS倒相器的瞬态特性知道,组成倒相器的MOS管本身的频率响应是比较快的。在实际的电路中,影响电路开关速度的主要因素是输入端的负载电容
上及MOS器件对这些电容充放电能力的大小。

图2-48为一个CMOS倒相器中存在着各种寄生电容示意图,这里用一个总的有效负载电容
来表示。

式中
为输入电容,包括栅源电容、栅
漏电容;
表示输出电容,包括漏一衬底结电容及封装布线等杂散电容。系数
表示驱动
个相同的倒相器。
在讨论CMOS倒相器的开关特性时,仍假定输入电压为理想的阶跃波。
CMOS倒相器的下降时间的分析方法,与E/EMOS的分析方法是一样的。当输入从“0”跳变到“1”(设输入“1”电平等于
),倒相器要实现“0”电平输出,
必须经过输入管的饱和区和非饱和区放电,如图2-47(a)所示。放电轨迹如图2-47(b)所示。

当
,输入管工作在饱和区。由于负载管截止,可以忽略负载管电流
。根据
(饱和),得到方程:

用分离变量法积分。在这段放电时间里,电压从
下降到
(饱和区与非饱和区的分界点)。

这就是CMOS倒相器导通时,负载电容
经工作在饱和区的输入管放电所需的时间。
其中:

称为时间常数。
若
,可算得:

当
时,输入管工作在非饱和区,放电轨迹对应非饱和区的一段曲线。同样,可根据
,得到方程:

用分离变量法积分。在这段放电时间里,输出电压从
下降到
,即输出“0”电平。

利用积分公式:

得到:

这就是倒相器负载电容
经工作在非饱和区的输入管放电所需的时间。
当
,可算得
。
的表达式
CMOS倒相器的下降时间应为饱和区放电时间和非饱和区放电时间之和:

若写成归一化电压的形式,则下降时间可表示为:

从式(2-82)可以看出,CMOS倒相器的下降时间
与负载电容成正比,
愈大,放电时间意长,与输入管的沟道宽长比(W/L)N,成反比,(W/L)N愈小,输入管的等效电阻意大,放电时间就愈长。

当CMOS倒相器输入由“1”跳变到“0”,电路由导通转变为完全截止。为达到“1”电平
输出,导通的负载管必须对电容
充电,如图2-48所示。

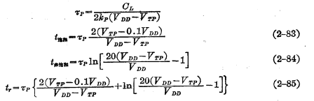
与分析下降时间的方法相同,得到时间常数和下降时间的表达式为:

写成归一化的上升时间为:

从式(2-86)看出,CMOS倒相器的上升时间
与负载电容
成正比,与负载管的沟道宽长比
成反比。
由于CMOS倒相器在导通或截止时,总有一个管子截止,一个管子导通。所以,负载管的沟道尺寸可不受功耗的限制。因此,负载管和输入管沟道的宽长比可设计得差不多大小。
这样,可使电容
充电和放电的时间差不多,上升时间和下降时间也近似相等。这与单沟道MOS倒相器的情况是不同的。
式(2-82)和(2-86)是在输入为阶跃波情况下导出的。归一化上升或下降时间与归一化的阀值电压之间的关系,可用图2-49表示出来。由于两个表达式完全是对称的,所以横轴表示
时,纵轴就表示归一化下降时间,如横轴表示
时,纵轴就表示归一化上升时间。

从图看出,阀值电压愈大,开关时间意慢,
超过电压关系0.3时,开关时间随阀值电压的增加而显著增加。
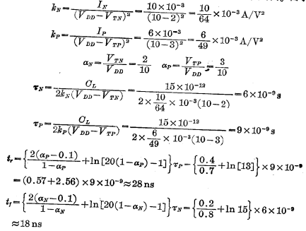
为了对CMOS倒相器的开关时间有个定量的概念,这里举一个例子。
假设CMOS倒相器的总负载电容
分别测得饱和电流
,求倒相器的开关时间。由于:


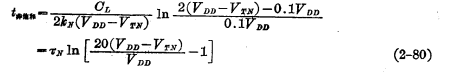
由于倒相器的输出信号不仅具有一定的上升和下降时间,而且相对于输入信号有一定的时间延迟,称为延迟时间。图2-50(a)所示为多级倒相器,即使第一级输入一个阶跃电压信号,但经过若干级之后,其波形也不会保证为阶跃信号了。这样一个非阶跃信号驱动下一级倒相器时,显然其延迟时间会更长一些。
所谓双门延迟时间,是指输入电压经过两级倒相器以后相应的50%幅度的时间间隔,亦称“对”延迟时间,其近似表达式为:


此式在
,即近似匹配的情况下才适用。用这一式子计算
,误差不大于10%。
由图2-30可看出:要使”
短,必须使倒相器的上升和下降时间都短。上升时间主要与负载管有关,下降时间主要与输入管有关。如果上升时间很短,下降时间很长,显然并不能使双门延迟时间缩短,相反,如下降时间很短,上升时间很长,也不能使”。缩短。要使
最短的条件一定要满足
,且两者都很小。为了满足这个要求,倒相器的参量必须满足近似公式:

若两管完全对称,显然
,是最佳开关响应条件。若
,则电路的开关性能将变坏。随着
的减小,开关响应更趋恶化。详见图2-51,图中分别给出了
时,
和
的关系。当
减小时,由于负载管的跨导减小,PMOS负载管对
的充电时间变长,使
同时,随着阀电压的增高
增加,所以导致
增加。因此在速度设计上,强调
,和阀值电压要小是很重要的。如
很小时,负载管
的增加将对
的影响起主要的作用。因为
增大,负载管导通困难,致使
增大,所以开关特性变差,延迟时间变长。

联系方式:邹先生
联系电话:0755-83888366-8022
手机:18123972950
QQ:2880195519
联系地址:深圳市福田区车公庙天安数码城天吉大厦CD座5C1
请搜微信公众号:“KIA半导体”或扫一扫下图“关注”官方微信公众号
请“关注”官方微信公众号:提供 MOS管 技术帮助