信息来源: 时间:2020-11-2
倒相器输出特性曲线上两个工作点,A点(开态)所对应的为输出低电平
,B点(关态)所对应的为输出高电平
。现在分别讨论输出高低电平的大小及其与器件参数的关系。
当倒相器截止时,输出电压
接近于
,这时负载管的
,因此满足
,负载管工作在非饱和区,其电流为:

因为:
上式改写为:
由于输入管截止,
,通过负载管的
也为0,所以便得到:

E/DMOS倒相器截止时,输出高电平确实等于电源电压
。
当倒相器导通时,输出低电平
,但并不等于
。这时负载管的
,满足
,负载管工作在饱和区,其电流为:

而输入管的
,满足
,输入管工作在非饱和区,其电流为:

因为
上式改写为:

由
,可以解得:

这就是倒相器导通时,输出低电平
的表达式。它与器件参数
和工艺参数
有关。如
愈大,
愈小,则
愈接近于0。
从上面分析看到,
倒相器的输出高电平
接近电源电压,输出低电平
接近于0,所以输出的电压幅值较大,电源电压得到充分利用,这是E/D MOS电路的一大优点。
图2-35所示为E/DMOS倒相器的传输特性曲线,上面表示的各个参数,其意义与E/EMOS倒相器中的相同。

根据不同的工作状态,可以把传输特性曲线分成三个不同的区域。为了讨论清楚起见,我们先把这三个区域中负载管和输入管的工作区域作一说明。大家知道,MOS管饱和区与非饱和区的分界线为:

对于E/DMOS倒相器的负载管,由于:

代入上式,得到E/D MOS倒相器负载管饱和区与非饱和区的分界线为:

若
(分界线上面),负载管工作在非饱和区,若
(分界线下面),则负载管工作在饱和区。
对于输入管,饱和区与非饱和区的分界线为:

当
时(分界线左上侧),输入管工作在饱和区;当
时(分界线右下侧),输入管工作在非饱和区。
根据以上划分,图2-35中三个区城中倒相器两个管子的工作状态,就比较清楚了。在第I区中,负载管工作在非饱和区,输入管工作在饱和区;在第II区域,负载管和输入管都工作在饱和区;在第III区域,负载管工作在饱和区,输入管工作在非饱和区域。
现在,分别讨论三个区域中倒相器的输出电压与输入电压的函数关系。
第I区;当
,倒相器输出为高电平
,即特性曲线的AB段。当
略大于
,输出电压开始下降,但仍满足
和
的条件,即负载管工作在非饱和区,输入管工作在饱和区。两管的电流式分别为:


由
,可得到方程:

解此方程,可得:

当
大于
不多时,满足:
,则可利用级数展开近似式
,将(2-52)式简化成:

可见,随着
增大,输入管的沟道增原,沟道电阻减小,所以,
很快下降,即为特性的
段。
第II区,
进一步增加,使输入管和负载管都工作在饱和区,其电流分别为:

由方程
解得:

这是一条与纵轴平行的直线,即为特性曲线的
段。
就是从倒相器捷止的导通过聚的输入电压,这个电压依赖于
,
和
如器件几何尺寸一定,则主要依赖于工艺参数
。
第Ⅲ区输入管处于非饱和区,负载管处于饱和区,其电流分别为:

由
,得到方程:

解此方程,得:

当
时,根式可用级数展开,近似化简为:

从(2-56)式可以看到,随着输入电压
的升高,输出电压缓慢下降,直至趋近于零;而且
愈小,
下降愈快,这就是特性曲线的DE段。
从上面的讨论看到,E/DMOS倒相器的传输性与器件的参数
和工艺参数
有密切的关系。
图2-36(a)表示
不同对传输特性的影响,从图中看到,取
可得到良好的传输特性。
图2-36(b)表示
不同对传输性的影响,从图中看到,
传输特性的影响特别显著,
愈大,传输特性愈差,输出低电平愈高。
此外,负载管的
与增强型负载管的阀值电压
一样,要受到源极调制作用的影响,因此,在设计中,
是需要认真考虑的一个重要因素。

要求得噪声容限,必须先求得关门电平与开门电平的表达式。从图,2-35中看到,
为规定的最小输出高电平,它对应的输入电压就是关门电平。用
和
分别代替(2-53)式中的
和
就可求得关门电平:

同样,可以看到,
为规定的最大输出低电平,它对应的输入电压就是开门电平
,将
和
分别代替(2-56)式中的
和
,就得到开门电平:

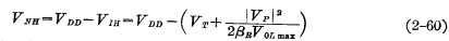
于是,根据定义可写出输入低电平噪声容限为:

输出高电平噪声容限为:

下面举个例子,使大家对噪容的大小有个数量的概念。
若有某个E/D MOS倒相器,其
,规定
。试求其噪声容限。
由(2-57)式算得:
由(2-58)式算得:
所以:

可见,噪声容限可以达到电源电压的35%以上。直流噪声容限大,抗干扰能力强,这是E/DMOS倒相器的又一特点。
还要强调指出,E/DMOS直流特性强烈地依赖于负载管的夹断电压
,例如输出低电平
的大小,抗干扰性能的优劣,无不与
有直接关系,因此,
成为设计中的一个重要因素。为了保证输出低电平的要求,并能减小晶片面积,可以不用增大输入管的宽长比W/L,而采用减小
的方法来达到。
联系方式:邹先生
联系电话:0755-83888366-8022
手机:18123972950
QQ:2880195519
联系地址:深圳市福田区车公庙天安数码城天吉大厦CD座5C1
请搜微信公众号:“KIA半导体”或扫一扫下图“关注”官方微信公众号
请“关注”官方微信公众号:提供 MOS管 技术帮助
