信息来源: 时间:2020-10-30
瞬态响应是研究倒相器输入电平变化后输出电平随时间变化的过程,是倒相器的动态特性。当输入电平快速跳变时,我们不仅要知道输出状态随输入状态变化的过程,还要了解输出状态变化能否跟上输入状态的变化。因此,就要研究输入状态变化至输出状态发生翻转过程所需的时间,就是通常所说的输出波形上升、下降及其延迟时间。前者是倒相器的截止和导通所需的时间,也叫开关时间;E/EMOS瞬态响应,后者是僧号传递一级门所需的时间,通常用平均传输时间来描述,这是表征电路工作速度的一个重要参数。下面将分别讨论倒相器的开关时间和平均传输时间。
MOS晶体管理论上是一种很快的开关器件,然而实际MOS电路的开关速度要比理论慢得多,其主要原因是电路存在着较大的寄生电容。图2-19是一个饱和负载倒相器电路,在图上标出了各种寄生电容。其中
表示输入端的沟道电容、栅源电容和布线电容的等效电容;
表示输出端的栅漏电容、源漏电容和布线电容的等效电容;
表示下一级电路的输入电容。
和
统称为电路的负载电容
由于负载电容的存在,所以电路在“0“,“1”两个状态的转变过程中,必须对
充放电。

当倒相器输入“1”电平,使电路由原来截止变为导通,输出“0”电平。电路要完成这样一个过程,输出端负载电容
必须将原来截止时所积累的电荷,通过已经导通的输入管放掉。只有待放电结束,才能使电容
两端的电位差接近于零,即输出“0”电平。如图2-20所示。E/EMOS瞬态响应,电路完成上述过程的放电时间称为导通时间,又称下降时间。为了测试方便,通常定义输出电压从幅值的90%下降至10%所需的时间为下降时间,用
表示,见图2-22。
当倒相器输入“0”电平时,倒相器由原来的导通态变为截止态,输出变为“1”电平。电路要完成这样的过程,需要一定的时间。因为输出端电容OL的两端,原来没有积累电荷,这时,输出端要由原来的“0”变为“1”,必须对电容
充电,使两端逐渐积累电荷,才能达到“1”电平输出。如图2-21所示。因为这时输入管处于截止状态,所以充电经过负载管回路。这个充电时间,称为截止时间,又称上升时间。可以定义为输出电压从幅值的10%上升到90%所需的时间为上升时间,用tr表示。见图2-22。

(1)下降时间(导通时间)
为了方便起见,我们可以作些近似假设,如假定输入信号为理想的阶跃波,由于导通时,
主要通过输入管放电,可忽略负载电流,故将负载MOS省去,得到简化的导通瞬间等效电路,如图2-28所示。无论是饱和负载还是非饱和负载倒相器,都可这样处理。

倒相器在导通开始瞬间,即由原来不导通状态转为充分导通状态,倒相器的工作点由图2-24中所示的
点跳变到
点。导通倒相器的输出应从“1”电平变到“0”电平。但这时电容
两端仍是原来的“1”电平,接着
开始通过导通的输入管放电,使输出端电压逐渐由‘“1”降到“0”。在这放电过程中,倒相器的工作点由
点经过饱和区到达
点,再从
点经过非饱和区达到
点。所以,导通时间由两部分组成,即饱和区放电时间和非饱和区放电时间。
当输出电压满足
,输入管处于饱和状态,瞬变工作点轨迹对应
这一段。利用电容放电电流等于饱和输入管漏源电流的关系,可以获得开关时间与输出电压关系式。
电容放电电流为:

输入管饱和电流为:

由
得到微分方程:

用分离变量法进行积分:

积分结果,得到饱和区的放电时间:

由(2-31)式可以看出,在电路中,如果输入“1”电平等于上一级倒相器的最大输出高电平
时,那么饱和区放电时间有最小值;如果输入“1”电平小于
,显然饱和区放电时间较长。所以输入“1”电平的数值不同,对上升时间是有影响的。
当输出电压满足
时,输入管工作在非饱和区。瞬变工作点轨迹对应
一段。这一段不同于饱和区放电,因为电容
通过处于非饱和区工作的输入管放电时,放电电流随着端电压的减小而渐趋于零。E/EMOS瞬态响应,同样,可由电容器的放电电流等于输入管非饱和电流的关系获得开关时间与输出电压关系的微分方程。
电容放电电流:

输入管非饱和电流:

由
,得到微分方程:

用分离变量法解这微分方程:

利用积分公式:

这里,
经积分,得到非饱和区放电时间为:

综上所述,MOS倒相器导通时,负载电容
从“1”电平经过导通的输入管放电,最后达到“0”电平,总的放电时间(即倒相器的导通时间)应为:

引入等效时间常数:

代入(2-35)式,得到:

从(2-36)式看到,要使倒相器的下降时间
小,一定要使
小,即输入管的跨导
一定要大。我们在导出
的数学表达式时,虽然忽略了负载管的电流,但用(2-36)式来计算倒相器的导通时间还是比较精确的,说明简化的分析结果与实际情况是符合的。实际上,负载管的电流对下降时间是有影响的,只是这种影响与总的开关时间相比是可以忽略的,所以在设计中,可以根据与的要求,利用(2-36)式来决定输入器件的几何尺寸。
这里还要指出,饱和区放电时间
比非饱和区放电时间加造要短很多,因为在饱和区,放电电流几乎不变,可视为恒流源放电;而在非饱和区,随着负载电容
,两端电压下降,通过
的放电电流将会愈来愈小,因此,非饱和区放电时间较长。假如将
、
的数据代入(2-31)式和(2-34)式,可分别算得
可见,
,所以在实际计算倒相器的下降时间时,往往忽略输入管在饱和区的放电时间。因此,倒相器的下降时间就近似等于输入管在非饱和区的放电时间。

为方便起见,可以根据
与输出电压的关系写成归一化的形式,得到归一化时间
,与归一化输出电压
的关系式:

根据(2-38)式,可作出归一化时间与归一化输出电压的关系曲线,如图2-25所示。从图中看出,负载电容
通过输入管非饱和区的放电时间约为
。这样,计算就得到了简化公式。

对于截止情况,倒相器在开始瞬间由原来的导通转为完全截止状态。这时,倒相器应输出“1”电平,为此,负载电容
必须通过负载管充电,使电容两端积累电荷。E/EMOS瞬态响应,在讨论上升时间时,为了方便起见,我们可以忽略流过输入管的电流,并且输入信号也假定为阶跃波。下面,我们分饱和负载和非饱和负载两种情况进行讨论。
和前面讨论的方法相同,由负载管了电流
等于电容器电流
(即输出节点处电流相等)的条件,可以得到描述截止瞬间的微分方程。但必须指出,饱和负载倒相器的负载管始终工作在饱和区,所以求解比前面简单。
通过对微分方程求解,可以得到饱和负载MOS倒相器的上升时间为:

式中
的起始值为零,最终值应为
。
如引入等效时间常数
。
可以得到归一化输出电压与归一化开关时间的简单函数关系:

经变换,得到:

(2-40)式就是归一化输出电压与归一化开关时间的函数关系,可以作出
的关系曲线,如图2-26所示。
从图2-26中看到,负载管在饱和区对
充电,电压从10%上升到90%所需的时间近似等于
。图中还画出了R-C网络的指数响应曲线,说明一个固定电阻情况下的充电时间为
。可见通过负载MOS器件对电容的充电时间要比纯电阳情况慢很多,而且也比通过输入管放电时间慢得多,即r>子。
在实际情况中,
的起始电压并不等于零,而是处于低电平,所以(2-39)式要改写成:


此式往往可用于设计计算。从这个式子计算出来的上升时间,要比
小些。
由(2-39)式看到,如果要减小
,必须采用高的电源
和高的
、低的
值。因为高
可以获得较高的充电电平,所以对预定的输出“1”电平来说,
愈高可更快充电至预定电平。高的
就意味着有较小的沟道等效电阻及有较大充电电流。
饱和MOS负载倒相器的截止时间
。开关速度是异常缓慢的,这主要是由于负载管工作在饱和区的原因。而非饱和负载MOS倒相器的负载管,始终工作在非饱和区,所以对负载电容的充电速度是比较快的。我们可以用与前面讨论相同的方法,来求得非饱和MOS负载倒相器的截止时间
。
非饱和区的电流为:

充电电流为:

由
,得到微分方程:

用分离变量法解这方程,并用归一化输出电压
和归一化开关时间
的形式表示,得到:

这就是非饱和负载的归一化输出电压与归一化开关时间的函数关系表达式。
其中
,为偏置参数,m'的大小表示负载管进入非饱和区的深度。
,为非饱和MOS负载的等效时间常数。
对于参量m'的一个已知值,可由(2-43)式作出
与
的一条关系曲线,如m’取从0~1之间的一组值,就可以得到一簇如图2-28的曲线,可供设计时参考。

因子适用于
的范围,当
时,(2-43)式可简化为简单的指数关系。

这正是线性电阻负载的情况。这表明,当Voo-→0o时,(m'-0),负载器件已相当于线性电阻,其开关时间为2.2x。可见Voo越高,导通意充分,非饱和区充电越快,开关速度就愈高。
当
时,可利用洛必达法则,将(2-43)式简化为:

这正是饱和负载的情况,其上升时间为
。可见,当
,表明非饱和MOS负载的上升时间
在
之间。上述分析没有考虑到衬底的偏置效应,如考虑到衬底的偏置效应,偏置参数和时间常数中的参量
,都要相应的加上附加阀值电压
。
通过对倒相器电路开关时间的讨论,我们清楚地看到,对于一般电路,上升时间
,远大于下降时间
,特别是饱和负载MOS倒相器,E/EMOS瞬态响应,它的上升时间要比下降时间大许多倍。因此,在实际电路设计中,往往可以忽略下降时间,而只考虑上升时间。倒相器的上升时间直接关系到电路的最高工作频率。
图2-29表示倒相器的输入和输出波形。从图2-29(a)中看到,当输出信号脉冲的半周期
时,电路的充放电跟得上输入脉冲的变化,电路能够正常工作。但当
时

(图2-29(b)),电路的充放电就跟不上输入脉冲的变化。比如,输入脉冲由“1”变“0”,倒相器由导通变为截止,负载管对
充电,但
充电尚未到达预定的高电平时,输入脉冲的电平却已经转换,由“0”电平跳变为“1”电平,迫使倒相器从截止态翻转为导通态。这样,输出电平的幅度就要下降,甚至会使输出脉冲达不到开门电平的数值,就会使下一级电路不能正常导通,整个电路就无法工作了。因此,输入脉冲的频率应受到电路最高工作频率的限制。
所谓最高工作频率,就是当输入脉冲的半周期等于输出脉冲的上升时间
时,电路能够维持正常工作的频率,称为最高工作频率。根据定义:

为输入脉冲的最小周期。
因此,电路最高频率为:

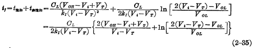
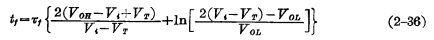
当信号在电路中传输时,前级门的输出往往就是后级门的输入。因此输入脉冲和输出脉冲的波形,就不再是理想的阶跃波。这样,输出波的上升时间和下降时间将增大,而整个输出波形相对输入波的延迟时间称为“传输时间”。
在实际工作中,为了测试方便,通常取波形幅度50%处的一点作为检测输出电压信号对输入电压信号时间延迟的参考点。对上升沿来说,输入脉冲50%与输出脉冲50%点之间的时间延迟定义为“上升延迟时间场”,对于下降沿同样定义输入脉冲50%的点与输出脉冲50%的点之间的时间延迟为“下降延迟时间
”,则平均传输时间可表示为:

图2-30表示传输时间的定义。
和
又常称为脉冲延迟时间,
是指每一级门电路的平均传输时间,它反映了电路传输信号的速度。如果门电路的
越大,则电路的速度越慢。

从上面分析知道,传输延迟时间与开关时间是不同的,传输延迟时间表示输出信号落后
于输入信号的时间,而开关时间则表示输出波形的过渡时间。
大家知道,要提高MOS电路的开关速度,应设法减小上升时间
r。对饱和负我倒相器电路来说,减小
有两个途径;一是增大电源电压
,因为较高的电源可以得到较高的输出电压
,在较短的时间内,电容
,可以充电到预定的“1”电平;另一途径是减小负载器件的沟道电阻,即减小时间常数
,也就是增大负载器件的宽长比,使充电电流增大。但以上两点都会增加电路的静态功耗
,而实际总是希望电路的功耗要尽可能小。因此,提高电路速度与减小电路功耗是矛盾的,所以,不能一味地追求速度而不考虑功耗,也不能只考虑减小功耗而不顾速度。评价电路性能的优劣,不能单一地用速度或功耗来衡量,而往往用静态功耗与平均传输时间的乘积作为优值来评价电路的性能,称为电路的品质因素,即:

单位用
焦耳(
)。
联系方式:邹先生
联系电话:0755-83888366-8022
手机:18123972950
QQ:2880195519
联系地址:深圳市福田区车公庙天安数码城天吉大厦CD座5C1
请搜微信公众号:“KIA半导体”或扫一扫下图“关注”官方微信公众号
请“关注”官方微信公众号:提供 MOS管 技术帮助
