信息来源: 时间:2020-10-29
1、开关时间 与E/D MOS倒相器的情况相同,输入电平由“0”跳变到“1”,或从“1”跳变到“0”的瞬间,E/D MOS倒相器在由截止变为导通或由导通变为裁止的过程中,都要通过负载电容
放电或充电。E/D MOS倒相器导通的过程与前面分析的E/E MOS倒相器干降时间的情况相似,面且数值又较小,在这里不再絮述。下面主要讨论侧相器的上升时间(即截止时间)。E/D MOS倒相器的瞬态响应
在输出脉冲的上升过程中,输入管是截止的,负载电容
通过导通的负载管充电。在这个过程中,负载管经历了饱和区与非饱和区两个工作状态,如图2-37(b)所示。现在分别讨论饱和区充电时间和非饱和区充电时间。
(1)饱和区充电时间 当
时,负载管工作在饱和区,由于负载管是耗尽型的,所以饱和区的电流恒为
,与输出电压无关,故为恒流充电。饱和区的充电时间,是电容两端电压从
充到
所需的时间,用
表示。充电电流为:

由
,可以得到负载管在饱和区的充电时间:


(2)非饱和区充电时间 当
时,负载管工作在非饱和区,由非饱和区电流与通过电容
的电流相等,可求得电容两端电压从
充到
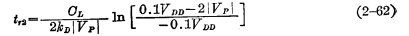
的时间(即负载管在非饱和区充电时间)为:

所以总的上升时间t,为:

通过以上分析知道,E/D MOS的上升时间与负载管的尺寸、夹断电压
有关。如要
小,则要求
大,但这与设计良好的直流特性是矛盾的。所以在设计中,必须根据设计指标,选取合理的设计参数。
对于E/D MOS的饱和负载来说,随着输出电压逐渐趋近
时,对负载电容
充电电流会愈来愈小,所以,上升时间很长,电路速度较慢。而E/DMOS的负载管具有恒流源的特性,上升时间要短得多,故可以提高电路的工作速度。E/D MOS倒相器的瞬态响应
综上所述,E/DMOS具有输出幅度大,抗干扰能力强和速度快的三大优点。但要在一块晶片上同时制得耗尽型和增强型两种不同沟道的器件,工艺是比较复杂的。
2、E/DMOS的品质因素 E/DMOS的静态功耗为:

速度可近似用
表示,因为
较
小许多。若用近似式表示为:

品质因素可近似为:

可见电源电压愈高,充电电流大,要达到预定的高电平比较容易,所以开关速度愈快,但功耗明显增加。在设计时要根据要求统筹考虑。
联系电话:0755-83888366-8022
手机:18123972950
QQ:2880195519
联系地址:深圳市福田区车公庙天安数码城天吉大厦CD座5C1
请搜微信公众号:“KIA半导体”或扫一扫下图“关注”官方微信公众号
请“关注”官方微信公众号:提供 MOS管 技术帮助

