信息来源: 时间:2020-10-29
1、输出电压的讨论
从上面分析知道,倒相器工作有“开”和“关”两个状态,即导通态和截止态;在输出特性曲线上的工作点A和B所对应的两个电压,即为输出低电平和输出高电平,分别用
和
表示,如图2-11所示。
下面以饱和MOS负载倒相器为例,来讨论输出低电平
和输出高电平
的表示式。图2-12是倒相器的等效电路。
当倒相器充分导通时,由于输入MOS管的导通电阻很小,输出为“0”电平,但实际输出电压并不等于0V,因为有一个导通电阻
存在,所以实际的输出电压应该是:

其中
是输入MOS管导通时的导通电流。

从倒相器的等效电路图2-12上看,可以写出:

其中RL为负载MOS管的等效电阻,
为通过负载管的电流。将(2-5)和(2-6)式改写成电流的形式,并根据
,则有:

经整理,得到输出低电平
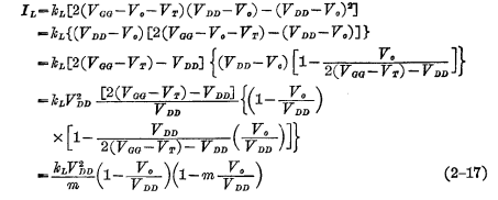
为:

其中
为输入管的导通电阻,根据(1-57)式有:

BL为负载管的导通电阻,其值为非饱和时导通电阻的2倍,所以有:

将这两式代入(2-8)式,得到:

在倒相器的设计中,往往取
,因此可忽略上式分母中的
。于是得到:

可以看到,
不仅与工艺参数
有关,还与负载管和输入管的跨导成正比。要使输出低电平
接近0V,设计时必须满足
,即
的比值要非常小。从图2-13直接看出,如倒相器输入管的跨导
一定,则负载管的跨导
愈小,倒相器输出低电平
愈靠近原点;如倒相器的负载管跨导
一定,那么输入管的跨导愈大,输出低电平
也愈靠近原点。

前已讲到,跨导的大小,直接反映着器件沟道宽长比W/L的大小。
愈大,沟道的宽长比愈大,反之,
愈小,沟道的宽长比也愈小。所以,若要使倒相器的输出低电平趋近于0V,设计时要使输入管的尺寸远比负载管的尺寸大。根据(2-9)式所表示的计算公式,可以直接进行设计。
当倒相器截止时,输入管的截止电阻很大,电源电压大部分降落在输入管的截止电阻上,输出为高电平
。由于这时倒相器处于截止状态,
,即:

所以求得输出高电平最大值为
,可见,输出高电平只与负载管的阀电压
有关。由于背面栅效应的影响,负载管的
是随着输出电压而变化的。所以计算
就比较复杂。在实际设计时,一般先确定输出高电平
的数值,然后算出
,再确定电源电压
。
考虑了背面栅效应,输出高电平V。出和输出低电平VaL的表达式,应作相应的改变。即:

MOS倒相器输出电压
与输入电压
之间的函数关系,称为电压传输特性。图2-14为倒相器的电压传输特性曲线示意图。

从图中看到,当倒相器的输入信号小于或等于
时,倒相器截止,输出高电平
;当输入信号大于
时,倒相器导通,输出低电平
;当输入信号
在
与
之间,则倒相器处于导通与截止的过渡区。
一个具体MOS倒相器的电压传输特性曲线,可以通过逐点测量每个输入电压
所对应的输出电压
,并作图得到,也可通过图示仪直接显示出来。下面将分别分析饱和负我与非饱和负载倒相器的传输特性。
这种倒相器中,负载管始终工作在饱和区,而输入管根据不同的工作情况,既可工作在饱和区,也可工作在非饱和区。如果
,输入管工作在饱和区;如果
,则输入管工作在非饱和区。这里
为输入管的阀值电压,
。为了讨论方便,先不考虑背面栅效应,故有VTL=VTI=VT。下面,我们从电流公式出发,来导出电压传输特性的数学表达式,并作出归一化传输特性曲线。
当负载管和输入管都处于饱和状态,其电流表达式为:


因为通过倒相器两个管子的电流相等(
),即:

其中
对上式用输出最大电压
进行归一化,就得:

很容易看出,这是一个直线方程,即
随
的变化近似成线性关系。将(2-18)式对
求导数,就得到直线的斜率为:

于是得到:

可见(2-15)式与外加电压无关,仅与器件的几何尺寸有关,所以,如从理论上求得了
的数值,即可求得输入器件与负载器件的几何尺寸比。当负载管工作在饱和区,输入管工作在非饱和区的情况,其电流可写为:

由于通过倒相器两管的电流相等,
,可得到
关系方程式:

将上式对最大输出电压
进行归一化,得到:

不难看出,这是一个曲线方程,即
随
的变化呈非线性关系。
方程(2-13)和(2-16)两式,反映了归一化的输出电压和输入电压的函数关系,对于系数
的某一个给定值,能够把各种情况的归一化输出电压
及归一化输入电压
的关系曲线作出图来。
归一化输入电压云号若参数
取4,9,16,25,86,49,64七个值,就可以作出七根电压传输特性曲线。E/E MOS静态特性分析,如图2-15所示。
从图中可以看出:
①饱和MOS负载倒相器输出高电平,最大值是
;
②
值增加使传输曲线更陡斜,输出“0”电平更接近0V,电压传输特性就愈好。
实际的倒相器设计,就是根据输入“1”电平情况下对输出“0”电平的要求,从图2-15求得导电因子的比βR,再算出两器件的宽长比的比值,最后确定器件的尺寸。所以图2-15又称为比例设计曲线,对于倒相器设计是很有用的。
例如设计一个共栅漏的MOS倒相器,其电源
,设计要求
。当
时,
,求这个倒相器的
及
。假定硅片电阻率为
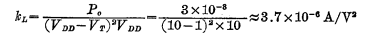
解a.负载管的计算 负载管可根据功耗的要求进行计算。
倒相器的静态功耗
,功耗表达式中的电流是饱和负载条件下倒相器导通时的电流,即最大静态电流
,这电流是受到负载器件的电阻限制的,所以
,即:

式中
等于负载管的漏源电压,如倒相器输出低电平接近零伏时,则
;式中
在集成条件下应为
,这里暂不考虑背面棚效应的影响,仍用
。所以:

于是得到:

由于:


得到:

这里求得的负载器件(W/L)z是最大值。
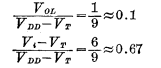
b、输入MOS管计算 通常输入MOS管是根据倒相器输出低电平的要求来考虑的。为了应用图2-15所示的设计曲线,需先求出归一化输出电压和输入电压。

查图2-15,得
,即:

因此:

可取:

当然,理论计算是给我们指出一个方向,在实际的设计计算中还要根据具体情况来修正
值,以得到满意的电路器件尺寸。
同饱和MOS负载的分析方法一样,可先得到流过工作在非饱和区的负载管
的电流表达式。由于:

所以:

其中:

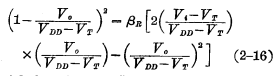
m称为偏置参数,它表明负载管深入非饱和区的程度。从(2-18)式看出,m值越大,越接近饱和,当m=1时,恰恰开始饱和,m越小,进入非饱和的程度越深。所以m值的范围为0<m<1。下面再分析输入MOS管的情况。当
时,TI工作在饱和区,因此:

当
时,TI工作于非饱和区,因此:

因为流过TI与TL的电流相等,所以TI工作在饱和区时,就有:

TI工作在非饱和区时,就有:

将(2-21)、(2-22)式作些变换,则TI在饱和区时
与
之间的关系为:

这就是输入管工作在饱和区时的非饱和MOS负载倒相器的传输特性方程,
随
的变化近似为线性关系。TI在非饱和区时,
与
的关系为:

这是输入管工作在非饱和区时的非饱和MOS负载倒相器的传输特性方程,
随
的变化呈非线性关系。E/E MOS静态特性分析
利用式(2-23)和式(2-24),对于不同的m值,可以作出m值从0.1到0.9的非饱和MOS负载倒相器的归一化的理论传输特性曲线(图2-16)。这些曲线可以用于设计。
现将使用方法简述如下:
①先确定偏置参数m的数值(反映非饱和深度)。





②确定归一化输出电压和归一化输入电压的数值,在相应的传输特性曲线上,查出对应的
值。
③再以查得的
值,确定器件的宽长比W/L。E/E MOS静态特性分析
所谓“噪声容限”,是指不破坏电路正常工作状态,输入端能承受的最大噪声电压。它表征电路抗干扰能力的大小。就是说,当输入端有寄生信号(干扰电压)时,电路能够保证正常输出的能力。倒相器的噪声容限,可以从电压传输特性曲线中估算出来,如图2-17所示。

图中
称为关门电平,
为开门电平。所谓关门电平,是指电路处于临界截止时,输出高电平的最小值
所对应的输入电平;所谓开门电平,是指电路处于临界导通时,输出低电平最大值
所对应的输入电平。

下面举一个两级互联的共栅漏负载MOS倒相器电路的例子(见图2-18)来说明噪声容限的大小。
如果两级倒相器的负载器件和输入器件的尺寸都一样,它们的阀值电压VT也相同,因此这两级倒相器的传输特性曲线完全相同。从图2-18看到,若要电路输出“1”电平,即要求第二级倒相器Q2能够可靠地处于截止状态,就必须要求输入低电平
。而输入低电平
是第一级倒相器的输出低电平
与噪声电压
的和,所以
。如果
,即
,就会破坏第二级倒相器Q2的截止态,使电路工作不正常。可见,破坏第二级倒相器截止的干扰电压值为
。因此,第二级倒相器截止的噪声容限就是
。
若要使第一级倒相器Q1能可靠地充分导通,必须要求输入的“1”电平
,而
是第二级倒相器正常输出的“1”电平。由于有于扰信号存在,输入到第一级倒相器的信号
就可能会降低,使
。所以要保证第一级倒相器可靠导通的条件是:
,而当
时,就可能破坏第一级倒相器Q1的正常工作。可见,使倒相器不能可靠地导通的干扰电压值是:
。因此,第一级倒相器的导通容限为:

经过上面的分析,可以得出倒相器截止容限和导通容限的定义(参见图2-17)。
截止容限(也称输入低电平噪容)
。当输入低电平时,保证电路不破坏截止状态所能允许的最大输入噪声电压为关门电平
与输出低电平
之差:

愈大,电路的低电平抗干扰能力愈强。
导通容限(也称输入高电平噪容)
。当输入高电平时,保证电路不破坏导通时所能允许的最大输入噪声电压为输出高电平
与开门电平
之差:

愈大,电路的高电平抗干扰能力愈强。
由此可见,要使电路有较强的抗干扰能力,必须有较低的
和较高的,要使
小,在设计中必须保证
。通常取倒相器的
在10~20倍范围,若此值取得过小,电路的噪声容限就小,抗干扰能力就变差。另外,要使电路具有良好的抗干扰能力,阀电压
的大小要控制适当;取用较高的电源
,以提高
,这对提高抗干扰能力是有利的。E/E MOS静态特性分析
联系电话:0755-83888366-8022
手机:18123972950
QQ:2880195519
联系地址:深圳市福田区车公庙天安数码城天吉大厦CD座5C1
请搜微信公众号:“KIA半导体”或扫一扫下图“关注”官方微信公众号
请“关注”官方微信公众号:提供 MOS管 技术帮助
