信息来源: 时间:2020-10-27
MOS晶体管图形设计,制造MOS晶体管,首先要根据给定的参数,设计出符合要求的图形。这里概要介绍一下根据跨导gm的要求,来设计一个MOS晶体管的图形。
设阀值电压
时,要求管子的跨导gm=
。
根据条件,所设计的MOS晶体管为N沟道增强型器件,所给定的ga为饱和区跨导。这里的图形设计,归结为确定器件沟道的宽长比
。
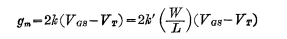
根据饱和区跨导公式:


可写出器件的宽长比为:

若取:
可求得:
将上述数值代入,即求得器件的宽长比为:

如果沟道长度L取8μm,则W取64μm。
于是根据所确定的宽长比,就可画出如图1-41(a)所示的版图。MOS晶体管图形设计其中,大方块表示衬底P-Si,方块中左右两个长方块表示漏源N+区,中间的间隙,即为沟道的宽与长,沟道上打×的方块,表示薄氧化层;点划线表示铝引线;斜线表示引线孔。若沿虚线AA切开,就可得到如图1-41(b)所示的截面图。
联系方式:邹先生
联系电话:0755-83888366-8022
手机:18123972950
QQ:2880195519
联系地址:深圳市福田区车公庙天安数码城天吉大厦CD座5C1
请搜微信公众号:“KIA半导体”或扫一扫下图“关注”官方微信公众号
请“关注”官方微信公众号:提供 MOS管 技术帮助
